1总则
1.0.1 为加强给水、排水(以下简称给排水)构筑物工程施工管理,规范施工技术,统一施工质量检验、验收标准,确保工程质量,制定本规范。
1.0.2 本规范适用于新建、扩建和改建城镇公用设施和工业企业中常规的给排水构筑物工程的施工与验收。不适用于工业企业中具有特殊要求的给排水构筑物工程施工与验收。
1.0.3 给排水构筑物工程所用的原材料、半成品、成品等产品的品种、规格、性能必须符合国家有关标准的规定和设计要求;接触饮用水的产品必须符合有关卫生要求。严禁使用国家明令淘汰、禁用的产品。
1.0.4 给排水构筑物工程施工与验收,除应符合本规范的规定外,尚应符合国家现行有关标准的规定。
2 术 语
2.0.1 围堰 cofferdam在施工期间围护基坑,挡住河(江、海、湖)水,避免主体构筑物直接在水体中施工的导流挡水设施。
2.0.2 施工降排水 construction drainage在进行土方开挖或构筑物施工时,为保持基坑或沟槽内在无水影响的环境条件下施工,而进行的降排水工作。常用方法有明排水和井点降排水两种。
2.0.3 明排水 drainage by open channel将流入基坑或沟槽内的地表或地下水汇集到集水井,然后用水泵抽走的排水方式。
2.0.4 井点降排水 drainage by well points又称井点降水。在基坑内或沟槽周边设置滤水管(井),在基坑(沟槽)开挖前和开挖过程中,用抽吸设备不断从滤水管(井)中抽水,使地下水位降低至坑(槽)底以下,满足干地施工条件的、人工降低地下水位的排水方式。井点类型包括轻型井点、喷射井点、电渗井点、管井井点和深水泵井点等。
2.0.5 施工缝 construction joint混凝土浇筑施工时,由于技术或施工组织上的原因,不能一次连续浇筑时,而在预先选定的停歇位置留置的搭接面或后浇带。
2.0.6 后浇带 post-placed strip在浇筑大体积混凝土构筑物时设置的后浇筑的施工缝。
2.0.7 变形缝 deformation joint为适应温度变化作用、地基沉陷作用和地震破坏作用引起水平和竖向变位而设置的构造缝。包括伸缩缝、沉降缝和防震缝。
2.0.8 止水带 water stopping band;water sealing band在构筑物或管渠相邻部分或分段接缝间,用以防止接缝面产生渗漏的带状设施,其材质类型有金属、橡胶、塑料等。
2.0.9 沉井 open caisson在地面上先制作井筒(井室),然后在井筒(井室)内挖土,使井筒(井室)靠自重或外力下沉至设计标高,再实施封底和内部工程的施工方法。
2.0.10 装配式混凝土构筑物 prefabricated concrete cistern以预制钢筋混凝土池壁等构件或半成品为主,拼装而成的钢筋混凝土构筑物。
2.0.11 预应力混凝土构筑物 prestressed concrete cistern由配置受力的预应力钢筋通过张拉或其他方法在外荷载作用前预先施加内应力的混凝土构筑物。
2.0.12 塘体构筑物 ponding cistern以防渗膜或土为主进行防渗处理的水处理或调蓄构筑物。包括稳定塘、湿地、暴雨滞留塘等。
2.0.13 取水构筑物 intake structure给水系统中,取集、输送原水而设置的各种构筑物的总称。
2.0.14 排放构筑物 outlet structure排水系统中,处置、排放污水而设置的各种构筑物的总称。
2.0.15 水处理构筑物 water(wastewater)treatinent structure给水(排水)系统中,对原水(污水)进行水质处理、污泥处置而设置的各种构筑物的总称。
2.0.16 调蓄池构筑物 adjusting structure给水(排水)系统中,平衡调配(调节)与输送、分配处理水量而设置的各种构筑物的总称。
2.0.17 满水试验 watering test水池结构施工完毕后,以水为介质对其进行的严密性试验。
2.0.18 气密性试验 air tightness test消化池满水试验合格后,在设计水位条件下以空气为介质对其进行的气密性试验。
3 基本规定
3.1 施工基本规定
3.1.1 施工单位应具备相应的施工资质,施工人员应具有相应资格。施工项目质量控制应有相应的施工技术标准、质量管理体系、质量控制和检验制度。
3.1.2 施工前应熟悉和审查施工图纸,掌握设计意图与要求。实行自审、会审(交底)和签证制度;对施工图有疑问或发现差错时,应及时提出意见和建议。需变更设计时,应按照相应程序报审,经相关单位签证认定后实施。
3.1.3 施工前应根据工程需要进行下列调查研究:1 现场地形、地貌、建(构)筑物、各种管线、其他设施及障碍物情况;2 工程地质和水文地质资料;3 气象资料;4 工程用地、交通运输、疏导及其环境条件;5 施工供水、排水、通信、供电和其他动力条件;6 工程材料、施工机械、主要设备和特种物资情况;7 在地表水水体中或岸边施工时,应掌握地表水的水文和航运资料;在寒冷地区施工时,尚应掌握地表水的冻结资料和土层冰冻资料;8 与施工有关的其他情况和资料。
3.1.4 开工前应编制施工组织设计,关键的分项、分部工程应分别编制专项施工方案。施工组织设计和专项施工方案必须按规定程序审批后执行,有变更时应办理变更审批。
3.1.5 施工组织设计应包括保证工程质量、安全、工期,保护环境、降低成本的措施,并应根据施工特点,采取下列特殊措施:1 地下、半地下构筑物应采取防止地表水流进基坑和地下水排水中断的措施;必要时应对构筑物采取抗浮的应急措施;2 特殊气候条件下应采取相应施工措施;3 在地表水水体中或岸边施工时,应采取防汛、防冲刷、防漂浮物、防冰凌的措施以及对防洪堤的保护措施;4 沉井和基坑施工降排水,应对其影响范围内的原有建(构)筑物进行沉降观测,必要时采取防护措施。
3.1.6 给排水构筑物施工时,应按“先地下后地上、先深后浅”的顺序施工,并应防止各构筑物交叉施工相互干扰。对建在地表水水体中、岸边及地下水位以下的构筑物,其主体结构宜在枯水期施工;抗渗混凝土宜避开低温及高温季节施工。
3.1.7 施工临时设施应根据工程特点合理设置,并有总体布置方案。对不宜间断施工的项目,应有备用动力和设备。
3.1.8 施工测量应实行施工单位复核制、监理单位复测制,填写相关记录,并符合下列规定:1 施工前,建设单位应组织有关单位进行现场交桩,施工单位对所交桩复核测量;原测桩有遗失或变位时,应补钉桩校正,并应经相应的技术质量管理部门和人员认定;2 临时水准点和构筑物轴线控制桩的设置应便于观测且必须牢固,并应采取保护措施;临时水准点的数量不得少于2个;3 临时水准点、轴线桩及构筑物施工的定位桩、高程桩,必须经过复核方可使用,并应经常校核;4 与拟建工程衔接的已建构筑物平面位置和高程,开工前必须校测;5 给排水构筑物工程测量应满足当地规划部门的有关规定。
3.1.9 施工测量的允许偏差应符合表3.1.9的规定,并应满足国家现行标准《工程测量规范》GB 50026和《城市测量规范》CJJ 8的有关规定。有特定要求的构筑物施工测量还应遵守其特殊规定。

3.1.10 工程所用主要原材料、半成品、构(配)件、设备等产品,进入施工现场时必须进行进场验收。进场验收时应检查每批产品的订购合同、质量合格证书、性能检验报告、使用说明书、进口产品的商检报告及证件等,并按国家有关标准规定进行复验,验收合格后方可使用。混凝土、砂浆、防水涂料等现场配制的材料应经检测合格后使用。
3.1.11 在质量检查、验收中使用的计量器具和检测设备,应经计量检定、校准合格后方可使用;承担材料和设备检测的单位,应具备相应的资质。
3.1.12 所用材料、半成品、构(配)件、设备等在运输、保管和施工过程中。必须采取有效措施防止损坏、锈蚀或变质。
3.1.13 构筑物的防渗、防腐、防冻层施工应符合国家有关标准的规定和设计要求。
3.1.14 施工单位应做好文明施工,遵守有关环境保护的法律、法规,采取有效措施控制施工现场的各种粉尘、废气、废弃物以及噪声、振动等对环境造成的污染和危害。
3.1.15 施工单位必须取得安全生产许可证,并应遵守有关施工安全、劳动保护、防火、防毒的法律、法规,建立安全管理体系和安全生产责任制,确保安全施工。对高空作业、井下作业、水上作业、水下作业、压力容器等特殊作业,制定专项施工方案。
3.1.16 工程施工质量控制应符合下列规定:1 各分项工程应按照施工技术标准进行质量控制,分项工程完成后,应进行检验;2 相关各分项工程之间,应进行交接检验;所有隐蔽分项工程应进行隐蔽验收;未经检验或验收不合格不得进行下道分项工程施工;3 设备安装前应对有关的设备基础、预埋件、预留孔的位置、高程、尺寸等进行复核。
3.1.17 工程应经过竣工验收合格后,方可投入使用。
3.2 质量验收基本规定
3.2.1 给排水构筑物工程施工质量验收应在施工单位自检合格基础上,按分项工程(验收批)、分部(子分部)工程、单位(子单位)工程的顺序进行,并符合下列规定:1 工程施工质量应符合本规范和相关专业验收规范的规定;2 工程施工应符合工程勘察、设计文件的要求;3 参加工程施工质量验收的各方人员应具备相应的资格;4 工程质量的验收应在施工单位自行检查、评定合格的基础上进行;5 隐蔽工程在隐蔽前应由施工单位通知监理单位进行验收,并形成验收文件;6 涉及结构安全和使用功能的试块、试件和现场检测项目,应按规定进行平行检测或见证取样检测;7 分项工程(验收批)的质量应按主控项目和一般项目进行验收;每个检查项目的检查数量,除本规范有关条款有明确规定外,应全数检查;8 对涉及结构安全和使用功能的分部工程应进行试验或检测;9 承担试验检测的单位应具有相应资质;10 工程的外观质量应由质量验收人员通过现场检查共同确认。
3.2.2 单位(子单位)工程、分部(子分部)工程、分项工程(验收批)的划分可按本规范附录A确定,质量验收记录应按本规范附录B填写。
3.2.3 分项工程(验收批)质量合格应符合下列规定:1 主控项目的质量经抽样检验合格;2 一般项目中的实测(允许偏差)项目抽样检验的合格率应达到80%,且超差点的最大偏差值应在允许偏差值的1.5倍范围内;3 主要工程材料的进场验收和复验合格,试块、试件检验合格;4 主要工程材料的质量保证资料以及相关试验检测资料齐全、正确;具有完整的施工操作依据和质量检查记录。
3.2.4 分部(子分部)工程质量验收合格应符合下列规定:1 分部(子分部)工程所含全部分项工程的质量合格;2 质量控制资料应完整;3 分部(子分部)工程中,混凝土强度、混凝土抗渗、地基基础处理、桩基础检测、位置及高程、回填压实等的检验和抽样检测结果应符合本规范有关规定;4 外观质量验收应符合要求。
3.2.5 单位(子单位)工程质量合格应符合下列规定,必要时应在设备安装、调试后进行单位工程验收:1 单位(子单位)工程所含全部分部(子分部)工程的质量合格;2 质量控制资料应完整;3 单位(子单位)工程所含分部工程有关结构安全及使用功能的检测资料应完整;4 涉及构筑物水池位置与高程、满水试验、气密性试验、压力管道水压试验、无压管渠严密性试验以及地下水取水构筑物的抽水清洗和产水量测定、地表水活动式取水构筑物的试运行等有关结构安全及使用功能的试验检测、抽查结果应符合规定;5 外观质量验收应符合要求。
3.2.6 管渠工程的质量验收应符合现行国家标准《给水排水管道工程施工及验收规范》GB 50268的有关规定。
3.2.7 工程质量验收不合格时,应按下列规定处理:1 经返工返修或更换材料、构件、设备等的分项工程,应重新进行验收;2 经有相应资质的检测单位检测鉴定能够达到设计要求的分项工程,应予以验收;3 经有相应资质的检测单位检测鉴定达不到设计要求、但经原设计单位核算认可能够满足结构安全和使用功能要求的分项工程,可予以验收;4 经返修或加固处理的分项工程、分部(子分部)工程,改变外形尺寸但仍能满足使用要求,可按技术处理方案和协商文件进行验收。
3.2.8 通过返修或加固处理仍不能满足结构安全和使用功能要求的分部(子分部)工程、单位(子单位)工程,严禁验收。
3.2.9 分项工程(验收批)应由专业监理工程师组织施工项目质量负责人等进行验收。
3.2.10 分部工程(子分部)应由总监理工程师组织施工项目负责人及其技术、质量负责人等进行验收。对于涉及重要部位的地基基础、主体结构、主要设备等分部(子分部)工程,设计和勘察单位工程项目负责人、施工单位技术质量部门负责人应参加验收。
3.2.11 单位工程经施工单位自行检验合格后,应向建设单位提出验收申请。单位工程有分包单位施工时,分包单位对所承包的工程应按本规范的规定进行验收,总承包单位应派人参加,并对分包单位进行管理;分包工程完成后,应及时地将有关资料移交总承包单位。
3.2.12 对符合竣工验收条件的单位(子单位)工程,应由建设单位按规定组织验收。施工、勘察、设计、监理等单位有关负责人应参加验收,该工程的管理或使用单位有关人员也应参加验收。
3.2.13 参加验收各方对工程质量验收意见不一致时,可由工程所在地建设行政主管部门或工程质量监督机构协调解决。
3.2.14 单位工程质量验收合格后,建设单位应按规定将单位工程竣工验收报告和有关文件,报送工程所在地建设行政主管部门备案。
3.2.15 工程竣工验收后,建设单位应将有关文件和技术资料归档。
4 土石方与地基基础
4.1 一般规定
4.1.1 建设单位应向施工单位提供施工影响范围内的地下管线、建(构)筑物及其他公共设施资料,施工单位应采取措施加以保护。
4.1.2 施工前应进行挖、填方的平衡计算,综合考虑土石方运距最短、运程最合理和各个工程项目的合理施工顺序等,做好土石方平衡调配,减少重复挖运。
4.1.3 降排水系统应经检查和试运转,一切正常后方可开始施工。
4.1.4 平整场地的表面坡度应符合设计要求,设计无要求时,流水方向的坡度大于或等于0.2%。
4.1.5 基坑(槽)开挖前,应根据围堰或围护结构的类型、工程水文地质条件、施工工艺和地面荷载等因素制定施工方案,经审批后方可施工。
4.1.6 围堰、圃护结构应经验收合格后方可进行基坑开挖。挖至设计高程后应及时组织验收,合格后进入下道工序施工,并应减少基坑裸露时间。基坑验收后应予保护,防止扰动。
4.1.7 深基坑应做好上、下基坑的坡道,保证车辆行驶及施工人员通行安全。
4.1.8 有防汛、防台风要求的基坑必须制定应急措施,确保安全。
4.1.9 施工中应对支护结构、周围环境进行观察和监测,出现异常情况应及时处理,恢复正常后方可继续施工。
4.1.10 基坑开挖至设计高程后应由建设单位会同设计、勘察、施工、监理等单位共同验收;发现岩、土质与勘察报告不符或有其他异常情况时,由建设单位会同上述单位研究确定处理措施。
4.1.11 土石方爆破必须按国家有关部门规定,由具有相应资质的单位进行施工。
4.2 围 堰
4.2.1 围堰施工方案应包括以下主要内容:1 围堰平面布置图;2 水体缩窄后的水面曲线和波浪高度验算;3 围堰的强度和稳定性计算;4 围堰断面施工图;5 板桩加工图;6 围堰施工方法与要求,施工材料和机具选定;7 拆除围堰方法与要求;8 堰内排水安全措施。
4.2.2 围堰结构应满足设计要求,构造简单,便于施工、维护和拆除。围堰与构筑物外缘之间,应留有满足施工排水与施工作业要求的宽度。
4.2.3 围堰类型的选择应根据基坑及河道的水文地质、施工方法和装备、环境保护等因素,经技术经济比较后确定。不同围堰类型的适用条件应符合表4.2.3的规定。

4.2.4 土、袋装土、钢板桩围堰的顶面高程,宜高出施工期间的最高水位0.5~0.7m;草捆土围堰堰顶面高程宜高出施工期的最高水位1.0~1.5m;临近通航水体尚应考虑涌浪高度。
4.2.5 围堰施工和拆除,不得影响航运和污染临近取水水源的水质。
4.2.6 围堰内基坑排水过程中必须随时对围堰进行检查,并应符合下列规定:1 围堰坑内积水、渗水量应进行测算,并应绘制排水量与下降水位值之间的关系曲线,在堰内设置水位观测标尺进行观测与记录;2 排水量与水位下降发生异常时,应停止排水,查明原因进行处理后,再重新进行排水;3 排水后堰内水位不下降,甚至上升时,必须立即停止排水,进行检查;如发现围堰变形、结构不稳定,必须立即向堰内注水,使其恢复至平衡水位后,查明原因并经处理合格后方能抽除堰内水并重新排水。
4.2.7 土、袋装土围堰施工应符合下列规定:1 填筑前必须清理基底;2 填筑材料应以黏性土为主;3 填筑顺序应自岸边起始,双向合拢时,拢口应设置于水深较浅区域;4 围堰填筑完成后,堰内应进行压渗处理,堰外迎水面进行防冲刷加固;5 土、袋装土围堰结构尺寸应符合表4.2.7的规定。

注:表中堰顶宽度指不行驶机动车时的宽度。
4.2.8 钢板桩围堰施工应符合下列规定:1 选用的钢板桩材质、型号和性能应满足设计要求;2 悬臂钢板桩,其埋设深度、强度、刚度、稳定性均应经计算、验算;3 钢板桩搬运起吊时,应防止锁口损坏和由于自重导致变形;在存放期间应防止变形及锁口内积水;4 钢板桩的接长应以同规格、等强度的材料焊接;焊接时应用夹具夹紧,先焊钢板桩接头,后焊连接钢板;5 钢板桩的插、打与拆除应符合下列规定:1)插、打前在锁口内应涂抹防水涂料;2)吊装钢板桩的吊点结构牢固安全、位置准确;3)钢板桩在黏土中不宜采用射水法沉桩,锤击时应设桩帽;4)应设插、打导向装置,最初插、打的钢板桩,应详细检查其平面位置和垂直度;5)需要接长的钢板桩,其相邻两钢板桩的接头位置,应上下错开不少于1m;6)钢板桩的转角及封闭,可用焊接连接或骑缝搭接;7)拆除钢板桩前,堰内外水位应相同,拔桩应由下游开始。
4.2.9 在通航河道上的围堰布置要满足航行的要求,并设置警告标志和警示灯。
4.3 施工降排水
4.3.1 下列工程施工应采取降排水措施:1 受地表水、地下动水压力作用影响的地下结构工程;2 采用排水法下沉和封底的沉井工程;3 基坑底部存在承压含水层,且经验算基底开挖面至承压含水层顶板之间的土体重力不足以平衡承压水水头压力,需要减压降水的工程;4 基坑位于承压水层中,必须降低承压水水位的工程。
4.3.2 降排水施工准备工作应符合下列规定:1 收集工程地质、水文地质勘测资料;2 确定土层稳定性计算参数;3 制定施工降排水方案,确定施工降排水方法、机具选型及数量;4 对基坑渗透性的评定和渗水量的估算,以及地基沉降变形的计算;5 确定变形观测点,水位观测孔(井)的布置;6 必要时应作抽水试验,验证渗透系数及水力坡降曲线,以保证基坑地下水位降至坑底以下;7 基坑受承压水影响时,应进行承压水降压计算,对承压水降压的影响进行评估。
4.3.3 施工降排水系统的排水应输送至抽水影响半径范围以外的河道或排水管道。
4.3.4 降排水施工必须采取有效的措施,控制施工降排水对周围构筑物和环境的不良影响。
4.3.5 施工过程中不得间断降排水,并应对降排水系统进行检查和维护;构筑物未具备抗浮条件时,严禁停止降排水。
4.3.6 冬期施工应对降排水系统采取防冻措施,停止抽水时应及时将泵体及进出水管内的存水放空。
4.3.7 明排水施工应符合下列规定:1 适用于排除地表水或土质坚实、土层渗透系数较小、地下水位较低、水量较少、降水深度在5m以内的基坑(槽)排水;2 依据工程实际情况按表4.3.7选择具体方式;

3 施工时应保证基坑边坡的稳定和地基不被扰动;4 集水井施工应符合下列规定:1)宜布置在构筑物基础范围以外,且不得影响基坑的开挖及构筑物施工;2)基坑面积较大或基坑底部呈倒锥形时,可在基础范围内设置,集水井筒与基础紧密连接,便于封堵;3)井壁宜加支护;土层稳定且井深不大于1.2m时,可不加支护;4)处于细砂、粉砂、粉土或粉质黏土等土层时,应采取过滤或封闭措施;封底后的井底高程应低于基坑底,且不宜小于1.2m;5 排水沟施工应符合下列规定:1)配合基坑的开挖及时降低深度,其深度不宜小于0.3m;2)基坑挖至设计高程,渗水量较少时,宜采用盲沟排水;3)基坑挖至设计高程,渗水量较大时,宜在排水沟内埋设直径150~200mm设有滤水孔的排水管,且排水管两侧和上部应回填卵石或碎石。
4.3.8 井点降水施工应符合下列规定:1 设计降水深度在基坑(槽)范围内不宜小于基坑(槽)底面以下0.5m,软土地层的设计降水深度宜适当加大;受承压水层影响时,设计降水深度应符合施工方案要求;2 应根据设计降水深度、地下静水位、土层渗透系数及涌水量按表4.3.8选用井点系统;3 井点孔的直径应为井点管外径加2倍管外滤层厚度,滤层厚度宜为100~150mm;井点孔应垂直,其深度可略大于井点管所需深度,超深部分可用滤料回填;4 井点管应居中安装且保持垂直;填滤料时井点管口应临时封堵,滤料沿井点管周围均匀灌入,灌填高度应高出地下静水位;

注:多级井点必须注意各级之间设置重复抽吸降水区间。5 井点管安装后,可进行单井、分组试抽水;根据试抽水的结果,可对井点设计作必要的调整;6 轻型井点的集水总管底面及抽水设备基座的高程宜尽量降低;7 井壁管长度允许偏差为±100mm,井点管安装高程的允许偏差为±100mm。
4.3.9 施工降排水终止抽水后,排水井及拔除井点管所留的孔洞,应及时用砂、石等填实;地下静水位以上部分,可用黏土填实。
4.4 基坑开挖与支护
4.4.1 基坑开挖与支护施工方案应包括以下主要内容:1 施工平面布置图及开挖断面图;2 挖、运土石方的机械型号、数量;3 土石方开挖的施工方法;4 围护与支撑的结构形式,支设、拆除方法及安全措施;5 基坑边坡以外堆土石方的位置及数量,弃运土石方运输路线及土石方挖运平衡表;6 开挖机械、运输车辆的行驶线路及斜道设置;7 支护结构、周围环境的监控量测措施。
4.4.2 施工除符合本章规定外,还应满足现行国家标准《建筑地基基础工程施工质量验收规范》GB 50202、《建筑边坡工程技术规范》GB 50330的相关规定。
4.4.3 基坑底部为倒锥形时,坡度变换处增设控制桩;同时沿圆弧方向的控制桩也应加密。
4.4.4 基坑的边坡应经稳定性验算确定。土质条件良好、地下水位低于基坑底面高程、周围环境条件允许时,深度在5m以内边坡不加支撑时,边坡最陡坡度应符合表4.4.4的规定:

4.4.5 土石方应随挖、随运,宜将适用于回填的土分类堆放备用。
4.4.6 基坑开挖的顺序、方法应符合设计要求,并应遵循“对称平衡、分层分段(块)、限时挖土、限时支撑”的原则。
4.4.7 采用明排水的基坑,当边坡岩土出现裂缝、沉降失稳等征兆时,必须立即停止开挖,进行加固、削坡等处理。雨期施工基坑边坡不稳定时,其坡度应适度放缓;并应采取保护措施。
4.4.8 设有支撑的基坑,应遵循“开槽支撑、先撑后挖、分层开挖和严禁超挖”的原则开挖,并应按施工方案在基坑边堆置土方;基坑边堆置土方不得超过设计的堆置高度。
4.4.9 基坑的降排水应符合下列规定:1 降排水系统应于开挖前2~3周运行;对深度较大,或对土体有一定固结要求的基坑,运行时间还应适当提前;2 及时排除基坑积水,有效地防止雨水进入基坑;3 基坑受承压水影响时,应在开挖前检查承压水的降压情况。
4.4.10 软土地层或地下水位高、承压水水压大、易发生流砂、管涌地区的基坑,必须确保降排水系统有效运行;如发现涌水、流砂、管涌现象,必须立即停止开挖,查明原因并妥善处理后方能继续开挖。
4.4.11 基坑施工中,地基不得扰动或超挖;局部扰动或超挖,并超出允许偏差时,应与设计商定或采取下列处理措施:1 排水不良发生扰动时。应全部清除扰动部分,用卵石、碎石或级配砾石回填;2 岩土地基局部超挖时,应全部清除基底碎渣,回填低强度混凝土或碎石。
4.4.12 超固结岩土复合边坡遇水结冰冻融易产生坍滑时,应及时采取措施防止坍塌与滑坡。
4.4.13 开挖深度大于5m,或地基为软弱土层,地下水渗透系数较大或受场地限制不能放坡开挖时,应采取支护措施。
4.4.14 基坑支护应综合考虑基坑深度及平面尺寸、施工场地及周围环境要求、施工装备、工艺能力及施工工期等因素,并应按照表4.4.14选用支护结构。

4.4.15 基坑支护应符合下列规定:1 支护结构应具有足够的强度、刚度和稳定性;2 支护部件的型号、尺寸、支撑点的布设位置,各类桩的入土深度及锚杆的长度和直径等应经计算确定;3 围护墙体、支撑围檩、支撑端头处设置传力构造,围檩及支撑不应偏心受力,围檩集中受力部位应加肋板;4 支护结构设计应根据表4.4.15选用相应的侧壁安全等级及重要性系数;

5 支护不得妨碍基坑开挖及构筑物的施工;6 支护安装和拆除方便、安全、可靠。
4.4.16 支护的设置应符合下列规定:1 开挖到规定深度时,应及时安装支护构件;2 设在基坑中下层的支撑梁及土锚杆,应在挖土至规定深度后及时安装;3 支护的连接点必须牢固可靠。
4.4.17 支护系统的维护、加固应符合下列规定:1 土方开挖和结构施工时,不得碰撞或损坏边坡、支护构件,降排水设施等;2 施工机具设备、材料,应按施工方案均匀堆(停)放;3 重型施工机械的行驶及停置必须在基坑安全距离以外;4 做好基坑周边地表水的排泄和地下水的疏导;5 雨期应覆盖土边坡,防止冲刷、浸润下滑,冬期应防止冻融。
4.4.18 支护出现险情时,必须立即进行处理,并应符合下列规定:1 支护结构变形过大、变形速率过快时,应在坑底与坑壁间增设斜撑、角撑等;2 边坡土体裂缝呈现加速趋势,必须立即采取反压坡脚、减载、削坡等安全措施,保持稳定后再行全面加固;3 坑壁漏水、流砂时,应采取措施进行封堵,封堵失效时必须立即灌注速凝浆液固结土体,阻止水土流失,保护基坑的安全与稳定;4 基坑周边构筑物出现沉降失稳、裂缝、倾斜等征兆时,必须及时加固处理并采取其他安全措施。
4.4.19 基坑开挖与支护施工应进行量测监控,监测项目、监测控制值应根据设计要求及基坑侧壁安全等级进行选择,并应符合表4.4.19的规定。

注:“√”为必选项目,“◇”为可选项目,可按设计要求选择。
4.5 地基基础
4.5.1 地基基础施工除应执行本规范的规定外,尚应符合国家现行标准《建筑地基基础工程施工质量验收规范》GB 50202、《建筑地基处理技术规范》JGJ 79、《建筑基桩检测技术规范》JGJ 106的有关规定。
4.5.2 构筑物垫层、基础、底板施工前应对下列项目进行复验,符合设计要求和有关规定后方可进行施工:1 基底标高及基坑几何尺寸、轴线位置;2 天然岩土地基及地基处理;3 复合地基、桩基工程;4 降排水系统。
4.5.3 地基基础的施工方案应包括下列主要内容:1 地基处理方式的选择,材料、配比,施工工艺和顺序,施工参数,施工机具,地基强度及承载力检验方法;2 复合地基桩成桩工艺,材料、配比,施工参数,施工机具,承载力检测要求;3 工程基础桩成桩施工工艺,材料、配比,施工参数,施工机具,承载力检测要求。
4.5.4 施工前应进行施工场地的整理,满足施工机具的作业要求;并应复核施工测量的轴线、水准点;所有施工机具、仪器仪表应进场验收合格,运行正常、安全可靠。
4.5.5 地基处理施工应符合下列规定:1 灰土地基、砂石地基和粉煤灰地基:应将表层的浮土清除,并应控制材料配比、含水量、分层厚度及压实度,混合料应搅拌均匀;地层遇有局部软弱土层或孔穴,挖除后用素土或灰土分层填实;2 强夯处理地基:应将施工场地的积水及时排除,地下水位降低到夯层面以下2m;施工应控制夯锤落距、次数、夯击位置和夯击范围;强夯处理的范围宜超出构筑物基础,超出范围为加固深度的1/3~1/2,且不小于3m;对地基透水性差、含水量高的土层,前后两遍夯击应有2~4周的间歇期;3 注浆加固地基:应根据设计要求及工程具体情况选用浆液材料,并应进行现场试验,确定浆液配比、施工参数及注浆顺序;浆液应搅拌充分、筛网过滤;施工中应严格控制施工参数和注浆顺序;地基承载力、注浆体强度合格率达不到80%时,应进行二次注浆。
4.5.6 复合地基施工应符合下列规定:1 复合地基桩,应按设计要求进行工艺性试桩,以验证或调整设计参数,并确定施工工艺、技术参数;2 复合地基桩,应控制所用材料配比,以及桩(孔)位、桩(孔)径、桩长(孔深)、桩(孔)身垂直度的偏差;3 水泥土搅拌桩,应控制水泥浆注入量、机头喷浆提升速度、搅拌次数;停浆(灰)面宜比设计桩顶高300~500mm;4 高压旋喷桩,应控制水泥用量、压力、相邻桩位间距、提升速度和旋转速度;并应合理安排成桩施工顺序。详细记录成孔情况;需要扩大加固范围或提高强度时应采取复喷措施;5 振冲桩,应控制填料粒径、填料用量、水压、振密电流、留振时间和振冲点位置顺序,防止漏振;6 水泥粉煤灰碎石桩,应控制桩身混合料的配比、坍落度、灌入量和提拔钻杆(或套管)速度、成孔深度;成桩顶标高宜高于设计标高500mm以上;7 砂桩,应选择适当的成桩方法,控制灌砂量、标高;合理安排成桩施工顺序;8 土和灰土挤密桩,应控制填料含水量和夯击次数;并应合理安排成桩施工顺序;成桩顶留覆盖土层厚度:沉管(锤击、振动)成孔宜为0.50~0.70m,冲击成孔宜为1.20~1.50m;9 预制桩及灌注桩,应按本规范第4.5.7条的规定执行;10 复合地基桩施工完成后,应按现行国家标准《建筑地基基础工程施工质量验收规范》GB 50202规定和设计要求,检验桩体强度和地基承载力。
4.5.7 工程基础桩施工应符合下列规定:1 成桩工艺、技术参数应满足设计要求;必要时应进行承载力或成桩工艺的试桩;2 所用的工程材料、预制混凝土桩及钢桩、灌注桩的预制钢筋笼及混凝土进场验收合格;3 混凝土灌注桩,应控制成孔、清渣、钢筋笼放置、灌注混凝土施工,防止坍(缩)孔和钻孔灌注桩护筒周围冒浆现象;端承桩应复验持力层的岩土性能,或按设计要求对桩底进行处理;4 沉入桩,应控制沉桩的垂直度、贯入度、标高,桩顶的完整性;接桩施工的间歇时间应符合规定,焊接接桩应做10%的焊缝探伤检验;应按施工工艺、技术参数和地形地貌安排施工顺序;施加桩顶的作用力与桩帽、桩垫、桩身的中心轴线应重合;5 沉入斜桩时,其倾斜角应符合设计要求,并避免影响后沉入桩施工。
4.5.8 抗浮锚杆、抗浮桩施工应符合下列规定:1 抗浮锚杆,应采取打入式工艺或压浆工艺;成孔机具符合要求;2 预制抗浮桩,应按设计要求进行桩身抗裂性能检验;3 抗浮锚杆、抗浮桩,应按设计要求进行抗拔检验。
4.5.9 构筑物的垫层、基础及底板施工应符合下列规定:1 对地基面层进行清理;2 清除成桩顶端的预留高出部分和松散部分;3 对桩顶的钢筋进行整形、处理;4 按设计要求或有关规定设置变形缝。
4.6 基坑回填
4.6.1 基坑回填应在构筑物的地下部分验收合格后及时进行。不需做满水试验的构筑物,在墙体的强度未达到设计强度以前进行基坑回填时,其允许回填高度应与设计商定。
4.6.2 回填材料应符合设计要求或有关规范规定。
4.6.3 回填前应清除基坑内的杂物、建筑垃圾,并将积水排除干净。
4.6.4 每层回填厚度及压实遍数,应根据土质情况及所用机具,经过现场试验确定,层厚差不得超出100mm。
4.6.5 应均匀回填、分层压实,其压实度应符合本规范表4.7.7的规定和设计要求。
4.6.6 钢、木板桩支撑的基坑回填,支撑的拆除应自下而上逐层进行。基坑填土压实高度达到支撑或土锚杆的高度时,方可拆除该层支撑。拆除后的孔洞及拔出板桩后的孔洞宜用砂填实。
4.6.7 雨期应经常检验回填土的含水量,随填、随压,防止松土淋雨;填土时基坑四周被破坏的土堤及排水沟应及时修复;雨天不宜填土。
4.6.8 冬期在道路或管道通过的部位不得回填冻土,其他部位可均匀掺入冻土,其数量不应超过填土总体积的15%,但冻土的块径不得大于150mm。
4.6.9 基坑回填后,必须保持原有的测量控制桩点和沉降观测桩点;并应继续进行观测直至确认沉降趋于稳定,四周建(构)筑物安全为止。
4.6.10 基坑回填土表面应略高于地面,整平,并利于排水。
4.7 质量验收标准
4.7.1 围堰应符合下列规定:主控项目1 围堰结构形式和围堰高度、堰底宽度、堰顶宽度以及悬臂桩式围堰板桩入土深度符合设计要求;检查方法:观察,检查施工记录、测量记录。2 堰体稳固,变位、沉降在限定值内。无开裂、塌方、滑坡现象,背水面无线流;检查方法:观察,检查施工记录、监测记录。一般项目3 所用钢板桩、木桩、填筑土石方、围堰用袋等材料符合设计要求和有关标准的规定;检查方法:观察;检查钢板桩、编织袋、石料等的出厂合格证;检查材料进场验收记录、土质鉴定报告。4 土、袋装土围堰的边坡应稳定、密实,堰内边坡平整、堰外边坡耐水流冲刷;双层桩填芯围堰的内外桩排列紧密一致,芯内填筑材料应分层压实;止水钢板桩垂直,相邻板桩锁口咬合紧密;检查方法:观察;检查施工记录。5 围堰施工允许偏差应符合表4.7.1的规定。

注:H指钢板桩的总长度,mm。
内容来自不 土不 木规范。
4.7.2 基坑开挖应符合下列规定:主控项目1 基底不应受浸泡或受冻;天然地基不得扰动,超挖;检查方法:观察;检查地基处理资料、施工记录。2 地基承载力应符合设计要求;检查方法:检查验基(槽)记录;检查地基处理或承载力检验报告、复合地基承载力检验报告、工程桩承载力检验报告。检查数量:1)同类型、同处理工艺的地基:不应少于3点;1000m2以上工程,每100m2至少应有1点;3000m2以上工程,每300m2至少应有1点;每个独立基础下不应少于1点,条形基础槽,每20延米应有1点;2)同类型、同工艺的复合地基:不少于总数的1%,且不应少于3处;有单桩检验要求时,不少于总数的1%,且至少3根;3)同类型、同工艺的工程基础桩承载力和桩身质量:承载力:采用静载荷试验时,不少于总数的1%,且不应少于3根;当总数少于50根时,不应少于2根;采用高应变动力检测时,不少于总数的2%,且不应少于5根;桩身质量:灌注桩,不少于总数的30%,且不应少于20根;其他桩,不少于总数的20%,且不应少于10根。3 基坑边坡稳定、围护结构安全可靠,无变形、沉降、位移,无线流现象;基底无隆起、沉陷、涌水(砂)等现象;检查方法:观察;检查监测记录、施工记录。一般项目4 基坑边坡护坡完整,无明显渗水现象;围护墙体排列整齐,钢板桩咬合紧密,混凝土墙体结构密实、接缝严密,围檩与支撑牢固可靠;检查方法:观察;检查施工记录、监测记录。5 基坑开挖允许偏差应符合表4.7.2的规定。

4.7.3 基坑围护结构与支撑系统的质量验收应符合现行国家标准《建筑地基基础工程施工质量验收规范》GB 50202的相关规定及本规范第4.7.2条的规定。
4.7.4 地基基础的地基处理、复合地基、工程基础桩的质量验收应符合现行国家标准《建筑地基基础工程施工质量验收规范》GB 50202的相关规定及本规范第4.7.2条的规定。有抗浮、抗侧向力要求的桩基应按设计要求进行试验。
4.7.5 抗浮锚杆应符合下列规定:主控项目1 钢杆件(钢筋、钢绞线等)以及焊接材料、锚头、压浆材料等的材质、规格应符合设计要求;检查方法:观察,检查出厂质量合格证明、性能检验报告和有关复验报告。2 锚杆的结构、数量、深度等应符合设计要求;检查方法:观察,检查施工记录。3 锚杆抗拔能力、压浆强度等应符合设计要求;检查方法:检查锚杆的抗拔试验报告、浆液试块强度试验报告。一般项目4 锚杆施工允许偏差应符合表4.7.5的规定。

4.7.6 钢筋混凝土基础工程的模板、钢筋、混凝土及分项工程质量验收应分别符合本规范第6.8.1、6.8.2、6.8.3、6.8.7条的规定。
4.7.7 基坑回填应符合下列规定:主控项目1 回填材料应符合设计要求;回填土中不应含有淤泥、腐殖土、有机物,砖、石、木块等杂物,超过本规范第4.6.8条规定的冻土块应清除干净;检查方法:观察,检查施工记录。2 回填高度符合设计要求;沟槽不得带水回填,回填应分层夯实;检查方法:观察,用水准仪检查,检查施工记录。3 回填时构筑物无损伤、沉降、位移;检查方法:观察,检查沉降观测记录。一般项目4 回填土压实度应符合设计要求,设计无要求时,应符合表4.7.7的规定。

表4.7.7的规定。注:表中压实度除标注者外均为轻型击实标准。5 压实后表面平整、无松散、起皮、裂纹;粗细颗粒分配均匀,不得有砂窝及梅花现象;检查方式:观察,检查施工记录。6 回填表面平整度宜为20mm;检查方法:观察,用靠尺和楔形塞尺量测;检查施工记录。
5 取水与排放构筑物
5.1 一般规定
5.1.1 本章适用于地下水取水构筑物(含大口井、渗渠和管井)、固定式地表水取水构筑物(含岸边式和河床式)、活动式地表水取水构筑物以及岸边和水中排放构筑物的施工与验收。
5.1.2 取水与排放构筑物的施工除符合本章规定外,还应符合下列规定:1 固定式取水及排放泵房应符合本规范第7章的规定;2 管井应符合现行国家标准《供水管井技术规范》GB 50296的规定;3 土石方与地基基础工程应符合本规范第4章的相关规定;4 混凝土结构工程的钢筋、模板、混凝土分项工程应符合本规范第6章的相关规定;5 进、出水管渠中,现浇钢筋混凝土管渠工程应符合本规范第6.7节的相关规定;预制管铺设的管渠工程应符合现行国家标准《给水排水管道工程施工及验收规范》GB 50268的相关规定。
5.1.3 施工前应编制施工方案,涉及水上作业时还应征求相关河道、航道和堤防管理部门的意见。
5.1.4 施工场地布置、土石方堆弃、排泥、排废弃物等,不得影响水源环境、水体水质、航运航道,也不得影响堤岸及附近建(构)筑物的正常使用。施工中产生的废料、废液等应妥善处理。
5.1.5 施工应满足下列规定:1 施工前应建立施工测量控制系统,对施工范围内的河道地形进行校测,并可根据需要设置地面、水上及水下控制桩点;2 施工船舶、设备的停靠、锚泊及顶制件驳运、浮运和施工作业时,应符合河道、航道等管理部门的有关规定,并有专人指挥;施工期间对航运有影响时应设置警告标志和警示灯,夜间施工应有保证通航的照明;3 水下开挖基坑或沟槽应根据河道的水文、地质、航运等条件,确定水下挖泥、出泥及水下爆破、出渣等施工方案,必要时可进行试挖或试爆;4 完工后应及时拆除全部施工设施,清理现场,修复原有护堤、护岸等;5 应按国家航运部门有关规定和设计要求,设置水下构筑物及管道警示标志、水中及水面构筑物的防冲撞设施;6 宜利用枯水季节进行施工,同时应考虑冰冻影响。
5.1.6 应根据工程环境、施工特点,做好构筑物结构和周围环境监控量测。
5.2 地下水取水构筑物
5.2.1 施工期间应避免地面污水及非取水层水渗入取水层。
5.2.2 施工完毕并经检验合格后,应按下列规定进行抽水清洗:1 抽水清洗前应将构筑物中的泥沙和其他杂物清除干净;2 抽水清洗时,大口井应在井中水位降到设计最低动水位以下停止抽水;渗渠应在集水井中水位降到集水管底以下停止抽水,待水位回升至静水位左右应再行抽水;抽水时应取水样,测定含砂量;设备能力已经超过设计产水量而水位未达到上述要求时,可按实际抽水设备的能力抽水清洗;3 水中的含砂量小于或等于1/200000(体积比)时,停止抽水清洗;4 应及时记录抽水清洗时的静水位、水位下降值、含砂量测定结果。
5.2.3 抽水清洗后,应按下列规定测定产水量:1 测定大口井或渗渠集水井中的静水位;2 抽出的水应排至降水影响半径范围以外;3 按设计产水量进行抽水,并测定井中的相应动水位;含水层的水文地质情况与设计不符时,应测定实际产水量及相应的水位;4 测定产水量时,水位和水量的稳定延续时间应符合设计要求;设计无要求时,岩石地区不少于8h,松散层地区不少于4h;5 宜采用薄壁堰测定产水量;6 及时记录产水量及其相应的水位下降值检测结果;7 宜在枯水期测定产水量。
5.2.4 大口井、渗渠施工所用的管节、滤料应符合下列规定:1 管节的规格、性能及尺寸公差应符合国家相关产品标准的规定;2 井筒混凝土无漏筋、孔洞、夹渣、疏松现象;3 辐射管管节的外观应直顺、无残缺、无裂缝,管端光洁平齐且与管节轴线垂直;4 有裂缝、缺口、露筋的集水管不得使用,进水孔眼数量和总面积的允许偏差应为设计值的±5%;5 滤料的制备应符合下列规定:1)滤料的粒径、不均匀系数及性质符合设计要求;2)严禁使用风化的岩石质滤料;3)滤料经过筛选检验合格后,按不同规格堆放在干净的场地上,并防止杂物混入;4)标明堆放的滤料的规格、数量和铺设的层次;5)滤料在铺设前应冲洗干净;其含泥量不应大于1.0%(重量比);6 铺设大口井或渗渠的反滤层前,应将大口井中或渗渠沟槽中的杂物全部清除,并经检查合格后,方可铺设反滤层;反滤层、滤料层均匀度应符合设计要求;7 滤料在运输和铺设过程中,应防止不同规格的滤料或其他杂物混入;冬期施工,滤料中不得含有冻块;8 滤料铺设时,应采用溜槽或其他方法将滤料送至大口井井底或渗渠槽底,不得直接由高处向下倾倒。
5.2.5 大口井施工应符合本规范第7.3节规定,并符合下列规定:1 井筒施工应符合下列规定:1)井壁进水孔的反滤层必须按设计要求分层铺设,层次分明,装填密实;2)采用沉并法下沉大口井井筒,在下沉前铺设进水孔反滤层时,应在井壁的内侧将进水孔临时封闭;不得采用泥浆套润滑减阻;3)井筒下沉就位后应按设计要求整修井底,经检验合格后方可进行下一道工序;4)井底超挖时应回填,并填至井底设计高程,其中井底进水的大口井,可采用与基底相同的砂砾料或与基底相近的滤料回填;封底的大口井,宜采用粗砂、砾石或卵石等粗颗粒材料回填;2 井底反滤层铺设应符合下列规定:1)宜将井中水位降到井底以下;2)在前一层铺设完毕并经检验合格后,方可铺设次层;3)每层厚度不得小于该层的设计厚度;3 大口井周围散水下回填黏土应符合下列规定:1)黏土应呈现松散状态,不含有大于50mm的硬土块,且不含有卵石、木块等杂物;2)不得使用冻土;3)分层铺设压实,压实度不小于95%;4)黏土与井壁贴紧,且不漏夯;4 新建复合井应先施工管井,建成的管井井口应临时封闭牢固;大口井施工时不得碰撞管井,且不得将管井作任何支撑使用。
5.2.6 辐射管施工应符合下列规定:1 应根据含水层的土质、辐射管的直径、长度、管材以及设备条件等确定施工方法;2 每根辐射管的施工应连续作业,不宜中断;埋入含水层中,辐射管向出水口应有不小于4‰的坡度;3 辐射管施工完毕,应采用高压水冲洗;辐射管与预留孔(管)之间的缝隙应封闭牢固,且不得漏砂;4 锤打法或顶管法施工应符合下列规定:1)辐射管的入土端应安装顶帽,施力端应安装管帽;2)锤打施力或顶进千斤顶的作用中心线,与辐射管的中心线同轴;3)千斤顶的支架应与底板固定;4)千斤顶的后背布置应符合设计要求;5 机械钻进法施工应符合下列规定:1)大口井井壁强度达到设计要求后,方可安装钻机设备;2)钻机应可靠地固定;3)钻孔均匀进尺,遇坚硬地层,钻进速度不宜过大;4)钻进和喷水必须同步,及时冲出钻屑;6 水射法施工应符合下列规定:1)水射设备连接牢固,过水通畅,安全可靠,且不得漏水;2)水压不小于0.3MPa,水枪的喷口流速:中、粗砂层,宜采用15m/s;卵石层,宜采用30m/s;3)辐射管开始推进时,其入土端宜稍低于外露端;4)辐射管随水枪射水,缓缓推进。
5.2.7 渗渠施工应符合下列规定:1 渗渠沟槽施工应符合下列规定:1)沟槽底及槽壁应平整,槽底中心线至沟槽壁的宽度不得小于中心线至设计反滤层外缘的宽度;2)采用弧形基础时,其弧形曲线应与集水管的弧度基本吻合;3)集水管与弧形基础之间的空隙,宜用砂石填充;2 预制混凝土枕基的现场安装应符合下列规定:1)枕基应与槽底接触稳定;2)枕基间铺设的滤料应捣实,并按枕基的弧面最低点整平;3)枕基位置及其标高应符合设计要求;3 预制混凝土条形基础现浇管座应符合下列规定:1)条形基础与槽底接触稳定;2)条形基础的位置及其标高应符合设计要求;3)条形基础的上表面凿毛,并冲刷干净;4)浇筑管座时,在集水管两侧同时浇筑,集水管与条形基础间的三角区应填实,且不得使集水管位移;4 集水管铺设应符合下列规定:1)下管前应对集水管作外观检查,下管时不得损伤集水管;2)铺设前应将管内外清扫干净,且不得有堵塞进水孔眼现象;铺设时应使集水管无进水孔眼部分的中线位于管底,并将集水管固定;3)集水管铺设的坡度必须符合设计要求;5 反滤层铺设应符合下列规定:1)现场浇筑管座混凝土的强度应达到5MPa以上方可铺设反滤层;2)集水管两侧的反滤层应对称分层铺设,每层厚度不宜超过300mm,且不得使集水管产生位移;3)每层滤料应厚度均匀,其厚度不得小于该层的设计厚度,各层间层次清晰;4)分段铺设时,相邻滤层的留茬应呈阶梯形,铺设接头时应层次分明;5)反滤层铺设完毕应采取保护措施,严禁车辆、行人通行或堆放材料,抛掷杂物;6 沟槽回填应符合下列规定:1)反滤层以上的回填土应符合设计要求;当设计无要求时,宜选用不含有害物质、不易堵塞反滤层的砂类土;2)若槽底以上原土成层分布,宜按原土层顺序回填;3)回填土时,宜对称于集水管中心线分层回填,并不得破坏反滤层和损伤集水管;4)冬期回填土时,反滤层以上0.5m范围内,不得回填冻土;5)回填土应分层夯实;7 渗渠施工完毕,应清除现场遗留的土方及其他杂物,恢复施工前的河床地形。
5.3 地表水固定式取水构筑物
5.3.1 施工方案应包括以下主要内容:1 施工平面布置图及纵、横断面图;2 水中及岸边构筑物、管渠的围堰或基坑(基槽)、沉井施工方案;3 水下基础工程的施工方法;4 取水头部等采用预制拼装时,其构件制作,下水与浮运,下沉、定位及固定,水下拼装的技术措施;5 进水管渠的施工方法以及与构筑物连接的技术措施;6 施工设备机具的数量、型号以及安全性能要求;7 水上、水下作业和深基坑作业的安全措施;8 周围环境、航运安全等的技术措施。
5.3.2 施工方法应根据设计要求和工程具体情况,经技术经济比较后确定。
5.3.3 采用预制取水头部进行浮运沉放施工应符合下列规定:1 取水头部预制的场地应符合下列规定:1)场地周围应有足够供堆料、锚固、下滑,牵引以及安装施工机具、机电设备、牵引绳索的地段;2)地基承载力应满足取水头部的荷载要求,达不到荷载要求时,应对地基进行加固处理;2 混凝土预制构件的制作应按本规范第6章的有关规定执行;3 预制钢构件的加工、制作、拼装应按现行国家标准《钢结构工程施工质量验收规范》GB 50205的有关规定执行;4 预制构件沉放完成后,应按设计要求进行底部结构施工,其混凝土底板宜采用水下混凝土封底。
5.3.4 取水头部水上打桩应符合表5.3.4的规定。

5.3.5 取水头部浮运前应设置下列测量标志:1 取水头部中心线的测量标志;2 取水头部进水管口的中心测量标志;3 取水头部各角吃水深度的标尺,圆形时为相互垂直两中心线与圆周交点吃水深度的标尺;4 取水头部墓坑定位的水上标志;5 下沉后,测量标志应仍露出水面。
5.3.6 取水头部浮运前准备工作应符合下列规定:1 取水头部的混凝土强度达到设计要求。并经验收合格;2 取水头部清扫干净,水下孔洞全部封闭,不得漏水;3 拖曳缆绳绑扎牢固;4 下滑机具安装完毕,并经过试运转;5 检查取水头部下水后的吃水平衡,不平衡时,应采取浮托或配重措施;6 浮运拖轮、导向船及测量定位人员均做好准备工作;7 必要时应进行封航管理。
5.3.7 取水头部的定位,应采用经纬仪三点交叉定位法。岸边的测量标志,应设在水位上涨不被淹没的稳固地段。
5.3.8 取水头部沉放前准备工作应符合下列规定:1 拆除构件拖航时保护用的临时措施;2 对构件底面外形轮廓尺寸和基坑坐标、标高进行复测;3 备好注水、灌浆、接管工作所需的材料,做好预埋螺栓的修整工作;4 所有操作人员应持证上岗,指挥通信系统应清晰畅通。
5.3.9 取水头部定位后,应进行测量检查,及时按设计要求进行固定。施工期间应对取水头部、进水间等构筑物的进水孔口位置、标高进行测量复核。
5.3.10 水中构筑物施工完成后,应按本规范第5.4节的规定和设计要求进行回填、抛石等稳定结构的施工。
5.3.11 河床式取水进水口从进水管道内垂直顶升法施工,应按本规范第5.5.5条的规定执行。其取水头部装置应按设计要求进行安装,且位置准确、安装稳固。
5.3.12 岸边取水构筑物的进水口施工应按本规范第5.5节规定和设计要求执行。
5.4 地表水活动式取水构筑物
5.4.1 施工方案应包括以下主要内容:1 取水构筑物施工平面布置图及纵、横断面图;2 水下抛石方法;3 浇筑混凝土及预制构件现场组装;4 缆车或浮船及其联络管组装和试运转;5 水下打桩;6 水下安装;7 水上、水下作业的安全措施。
5.4.2 水下抛石施工应符合下列规定:1 抛石顶宽不得小于设计要求;2 抛石时应采用标控位置;宜通过试抛确定水流流速、水深及抛石方法对抛石位置的影响;3 所用抛石应有良好的级配;4 抛石施工应由深处向岸堤进行;5 抛石时应测水深,测量的频率应能指导抛石的正确作业;6 宜采用断面方格网法控制定点抛石。
5.4.3 水下抛石预留沉量数值宜为抛石厚度的10%~20%;可按当地经验或现场试验确定;在水面附近应进行铺砌或人工抛埋。
5.4.4 对易受水流、波浪、冲淤影响的部位,基床平整后应及时进行下道工序。
5.4.5 斜坡道应自下而上进行施工,现浇混凝土坡度较陡时,应采取防止混凝土下滑的措施。
5.4.6 水位以下的轨道枕、梁、底板采用预制混凝土构件时,应预埋安装测量标志的辅助铁件。
5.4.7 缆车、浮船的接管车斜坡道、斜坡道上框架等结构的施工以及斜坡道上轨枕、轨梁、轨道的铺设,应按设计要求和国家有关规范执行。
5.4.8 缆车、浮船接管车的制作应符合设计要求,并应符合下列规定:1 钢制构件焊接过程应采取防止变形措施;2 钢制构件加工完毕应及时进行防腐处理。
5.4.9 摇臂管的钢筋混凝土支墩,应在水位上涨至平台前完成。
5.4.10 摇臂管安装前应及时测量挠度;如挠度超过设计要求,应会同设计单位采取补强措施,复测合格后方可安装。
5.4.11 摇臂管及摇臂接头在安装前应水压试验合格,其试验压力应为设计压力的1.5倍,且不小于0.4MPa。
5.4.12 摇臂接头的铸件材质及零部件加工尺寸应符合设计要求。铸件切削加工后,不得进行导致部位变形的任何补焊。
5.4.13 摇臂接头应在岸上进行试组装调试,使接头能转动灵活。
5.4.14 摇臂管安装应符合下列规定:1 摇臂接头的岸、船两端组装就位,调试完成;2 浮船上、下游锚固妥当,并能按施工要求移动泊位;3 江河流速超过1m/s时应采取安全措施;4 避开雨天、雪天和五级风以上的天气。
5.4.15 浮船与摇臂管联合试运行前,浮船应验收合格并符合下列规定方可试运行:1 船上机电设备应按国家有关规范规定安装完毕,且安装检验与设备联动调试应合格:2 进水口处应有防漂浮物的装置及清理设备;船舷外侧应有防撞击设施;3 安全设施及防火器材应配置合理、完备,符合船舶管理的有关规定;4 各水密舱的密封性能良好,所安装的管道、电缆等设施未破坏水密舱的密封效果;5 抛锚位置应正确,锚链和缆绳强度的安全系数应符合规定,工作正常可靠。
5.4.16 浮船与摇臂管应按下列步骤联动试运行,并做好记录:1 空载试运行应符合下列规定:1)配电设备,所有用电设备试运转;2)测定摇臂管的空载挠度;3)移动浮船泊位,检查摇臂管水平移动;4)测定浮船四角干舷高度;2 满载试运行应符合下列规定:1)机组应按设计要求连续试运转24h;2)测定浮船四角干舷高度,船体倾斜度应符合设计要求;设计无要求时,不允许船体向摇臂管方向倾斜;船体向水泵吸水管方向的倾斜度不得超过船宽的2%,且不大于100mm;超过时,应会同有关单位协商处理;船舱底部应无漏水;3)测定摇臂管的挠度;4)移动浮船泊位,检查摇臂管的水平移动;5)检查摇臂接头,有渗漏时应首先调整压盖的紧力;调整压盖无效时,再检查、调整填料涵的尺寸。
5.4.17 缆车、浮船接管车应按下列步骤试运行,并做好记录;1 配电设备,所有用电设备试运转;2 移动缆车、浮船接管车行走平稳,出水管与斜坡管连接正常;3 起重设备试吊合格;4 水泵机组按设计要求的负荷连续试运转24h;5 水泵机组运行时,缆车、浮船的振动值应在设计允许的范围内。
5.5 排放构筑物
5.5.1 施工方案应根据工程水文地质条件、设计文件的要求编制,主要内容宜符合本规范第5.3.1条的有关规定,并应包括岸边排放的出水口护坡及护坦、水中排放出水涵渠(管道)和出水口的施工方法。
5.5.2 土石方与地基基础、砌体及混凝土结构施工应符合本规范第4章和第6章的相关规定,并应符合下列规定:1 基础应建在原状土上,地基松软或被扰动时,应按设计要求处理;2 排放出水口的泄水孔应畅通,不得倒流;3 翼墙变形缝应按设计要求设置、施工,位置准确,设缝顺直,上下贯通;4 翼墙临水面与岸边排放口端面应平顺连接;5 管道出水口防潮门井的混凝土浇筑前,其预埋件安装应符合防潮门产品的安装要求。
5.5.3 翼墙背后填土应符合本规范第4.6节的规定,并应符合下列规定:1 在混凝土或砌筑砂浆达到设计抗压强度后,方可进行;2 填土时,墙后不得有积水;3 墙后反滤层与填土应同时进行;4 回填土分层压实。
5.5.4 岸边排放的出水口护坡、护坦施工应符合下列规定:1 石砌体铺浆砌筑应符合下列规定:1)水泥砂浆或细石混凝土应按设计强度提高15%,水泥强度等级不低于32.5,细石混凝土的石子粒径不宜大于20mm,并应随拌随用;2)封砌整齐、坚固,灰浆饱满、嵌缝严密,无掏空、松动现象;2 石砌体干砌砌筑应符合下列规定:1)底部应垫稳、填实,严禁架空;2)砌紧口缝,不得叠砌和浮塞;3 护坡砌筑的施工顺序应自下而上、分段上升;石块间相互交错,砌体缝隙严密,无通缝;4 具有框格的砌筑工程,宜先修筑框格,然后砌筑;5 护坡勾缝应自上而下进行,并应符合本规范第6.5.14条规定;6 混凝土浇筑扩坦应符合下列规定:1)砂浆、混凝土宜分块、间隔浇筑;2)砂浆、混凝土在达到设计强度前,不得堆放重物和受强外力;7 如遇中雨或大雨,应停止施工并有保护措施;8 水下抛石施工时,按本规范第5.4节的相关规定进行。
5.5.5 水中排放出水口从出水管道内垂直顶升施工,应符合现行国家标准《给水排水管道工程施工及验收规范》GB 50268的规定,并应符合下列规定:1 顶升立管完成后,应按设计要求稳管、保护;2 在水下揭去帽盖前,管道内必须灌满水;3 揭帽盖的安全措施准备就绪;4 排放头部装置应按设计要求进行安装,且位置准确、安装稳固。
5.5.6 砌筑水泥砂浆、细石混凝土以及混凝土结构的试块验收合格标准应符合下列规定:1 水泥砂浆应符合本规范第6.5.2、6.5.3条的规定;2 细石混凝土,每100m3的砌体为一个验收批,应至少检验一次强度;每次应制作试块一组,每组三块;并符合本规范第6.2.8条第6款的规定;3 混凝土结构的混凝土应符合本规范第6.2.8条的规定。
5.5.7 排放构筑物的施工应符合本规范第5.3节的相关规定。
5.6 进、出水管渠
5.6.1 取水构筑物进水管渠、排放构筑物的出水管渠的施工方案主要内容应包括管渠的施工方法、施工技术措施、水上及水下作业和深基槽作业的安全措施。
5.6.2 进、出水管施工符合现行国家标准《给水排水管道工程施工及验收规范》GB 50268的相关规定,并应符合下列规定:1 现浇钢筋混凝土结构管渠施工应符合本规范第6.7.7条规定;2 砌体结构管渠施工应符合本规范第6.7.6条规定;3 取水构筑物的水下进水管渠,与取水头部连接段设有弯(折)管时,宜采用围堰开槽或沉管法施工;条件允许时,直线段采用顶管法施工,弯(折)管段采用围堰开槽或沉管法施工;4 水中架空管道应符合下列规定:1)排架宜采用预制构件进行装配施工,严格控制排架位置及顶面标高;2)可采用浮拖法、船吊法等进行管道就位;预制管段的拖运、浮运、吊运及下沉按现行国家标准《给水排水管道工程施工及验收规范》GB 50268的相关规定执行;5 水下管道接口采用管箍连接时,应先在陆地或船上试接和校正;管道在水下连接后,由潜水员检查接头质量,并做好质量检查记录。
5.6.3 沉管采用分段下沉时,应严格控制管段长度;最后一节管段下沉前应进行管位及长度复核。
5.6.4 水下顶管施工应符合现行国家标准《给水排水管道工程施工及验收规范》GB 50268的相关规定,并符合下列规定:1 利用进水间、出水井等构筑物作为顶管工作井,并采用井壁作顶管后背时,后背设计应获得有关单位同意;2 后背与千斤顶接触的平面应与管段轴线垂直,其垂直偏差不得超过5mm;3 顶管机穿墙时应采取防止水、砂涌入工作坑的措施,并宜将工具管前端稍微抬高;4 顶管过程中应保持顶进进尺土方量与出土量的平衡,并严禁超量排土。
5.6.5 进、出水管渠的位置、坡度符合设计要求,流水通畅。
5.6.6 管渠穿越构筑物的墙体间隙,应按设计要求处理,封填密实、不渗漏。
5.7 质量验收标准
5.7.1 取水与排放构筑物结构中有关钢筋混凝土结构、砖石砌体结构工程的各分项工程质量验收应符合本规范第6.8.1~6.8.9条的有关规定。取水与排放泵房工程的质量验收应符合本规范第7.4节的有关规定。
5.7.2 进、出水管渠中现浇钢筋混凝土、砌体结构的管渠工程质量验收应符合本规范第6.8.11、6.8.12条的规定;预制管铺设的管渠工程质量验收应符合现行国家标准《给水排水管道工程施工及验收规范》GB 50268的相关规定。
5.7.3 大口井应符合下列规定:主控项目1 预制管节、滤料的规格、性能应符合国家有关标准、设计要求和本规范第5.2.4条相关规定;检查方法:观察,检查每批的产品出厂质量合格证明、性能检验报告及有关的复验报告。2 井筒位置及深度、辐射管布置应符合设计要求;检查方法:检查施工记录、测量记录。3 反滤层铺设范围、高度应符合设计要求;检查方法:观察,检查施工记录、测量记录、滤料用量。4 抽水清洗、产水量的测定应符合本规范第5.2.2、5.2.3条的规定;检查方法:检查抽水清洗、产水量的测定记录。一般项目5 井筒应平整、洁净、边角整齐,无变形;混凝土表面不得出现有害裂缝,蜂窝麻面面积不得超过总面积的1%;检查方法:观察,量测表面缺陷。6 辐射管坡向正确、线形直顺、接口平顺,管内洁净;管与预留孔(管)之间无渗漏水现象;检查方法:观察。7 反滤层层数和每层厚度应符合设计要求;检查方法:观察,检查施工记录。8 大口井外四周封填材料、厚度等应符合设计要求和本规范第5.2.5条第3款的规定,封填密实;检查方法:观察,检查封填材料的质量保证资料。9 预制井筒的制作尺寸允许偏差,应符合表5.7.3—1的规定。

10 大口井施工的允许偏差应符合表5.7.3-2的规定。

5.7.4 渗渠应符合下列规定:主控项目1 预制管材、滤料及原材料的规格、性能应符合国家有关标准、设计要求和本规范第5.2.4条相关规定;检查方法:观察;检查每批的产品出厂质量合格证明、性能检验报告及有关的复验报告。2 集水管安装的进水孔方向正确,且无堵塞;管道坡度必须符合设计要求;检查方法:观察;检查施工记录、测量记录。3 抽水清洗、产水量的测定应符合本规范第5.2.2、5.2.3条的规定;检查方法:检查抽水清洗、产水量的测定记录。一般项目4 集水管道应坡向正确、线形直顺、接口平顺,管内洁净;管道应垫稳,管口间隙应均匀;检查方法:观察,检查施工记录、测量记录。5 集水管施工允许偏差应符合表5.7.4的规定。

5.7.5 管井应符合下列规定:主控项目1 井管、过滤器的类型、规格、性能应符合国家有关标准规定和设计要求;检查方法:观察;检查每批的产品出厂质量合格证明、性能检验报告。2 滤料的规格应符合设计要求,其中不符合规格的数量不得超过设计数量的15%;滤料应不含土或杂物,严禁使用棱角碎石;检查方法:观察;检查滤料的筛分报告等。3 井身应圆正、竖直,其直径不得小于设计要求;检查方法:观察;检查钻井记录、探井检查记录。4 井管安装稳固,并直立于井口中心、上端口水平;井管安装的偏斜度:小于或等于100m的井段,其顶角的偏斜不得超过1°;大于100m的井段,每百米顶角偏斜的递增速度不得超过1.5°;检查方法:检查安装记录;用经纬仪、水准仪、垂线等测量。5 洗井、出水量和水质测定符合国家有关标准的规定和设计要求;检查方法:按现行国家标准《供水管井技术规范》GB 50296的有关规定执行,检查抽水试验资料和水质检验资料。一般项目6 井身的偏斜度应符合本条第4款的相关规定;井段的顶角和方位角不得有突变;检查方法:观察;检查钻井记录、探井检查记录。7 过滤管安装深度的允许偏差为±300mm;检查方法:检查安装记录;用水准仪、钢尺测量。8 填砾的数量及深度符合设计要求;检查方法:观察;检查施工记录、用料记录。9 洗井后井内沉淀物的高度应小于井深的5‰;检蛮方法:观察;用水准仪、钢尺测量。10 管井封闭位置、厚度、封闭材料以及封闭效果符合设计要求;检查方法:观察;检查施工记录、用料记录。
5.7.6 预制取水头部的制作应符合下列规定:主控项目1 工程原材料、预制构件等的产品质量保证资料应齐全,每批的出厂质量合格证明书及各项性能检验报告应符合国家有关标准规定和设计要求;检查方法:检查产品质量合格证、出厂检验报告和进场复验报告。2 混凝土结构的强度、抗渗、抗冻性能应符合设计要求;外观无严重质量缺陷;钢制结构的拼接、防腐性能应符合设计要求;结构无变形现象;检查方法:观察,检查混凝土结构的抗压、抗渗、抗冻试块试验报告,钢制结构的焊接(栓接)质量检验报告、防腐层检测记录;检查技术处理资料。3 预制构件试拼装经检验合格,进水孔、预留孔及预埋件位置正确;检查方法:观察,检查试拼装记录、施工记录、隐蔽验收记录。一般项目4 混凝土结构表面应光洁平整,洁净,边角整齐;外观质量不宜有一般缺陷;检查方法:观察;检查技术处理资料。5 钢制结构防腐层完整,涂装均匀;检查方法:观察。6 拼装、沉放的吊环、定位件、测量标记等满足安装要求;检查方法:观察;检查施工记录。7 取水头部制作允许偏差应分别符合表5.7.6—1和表5.7.6—2的规定。

5.7.7 预制取水头部的沉放应符合下列规定:主控项目1 沉放安装中所用的原材料、配件等的等级、规格、性能应符合国家有关标准规定和设计要求;检查方法:检查产品的出厂质量合格证、出厂检验报告和进场复验报告。2 取水头部的沉放位置、高度以及预制构件之间的连接方式等符合设计要求,拼装位置准确、连接稳固;检查方法:观察;检查施工记录、测量记录,检查拼接连接的施工检验记录、试验报告;用钢尺、水准仪、经纬仪测量拼接位置。3 进水孔、进水管口的中心位置符合设计要求;结构无变形、裂缝、歪斜;检查方法:观察;检查施工记录、测量记录。一般项目4 底板结构层厚度、封底混凝土强度应符合设计要求;检查方法:观察;检查封底混凝土强度报告、施工记录。5 基坑回填、抛石的范围、高度应符合设计要求;检查方法:观察,潜水员水下检查;检查施工记录。6 进水工艺布置、装置安装符合设计要求;钢制结构防腐层无损伤;检查方法:观察;检查施工记录。7 警告、警示标志及安全保护设施设置齐全;检查方法:观察;检查施工记录。8 取水头部安装的允许偏差应符合表5.7.7的规定。
5.7.8 缆车、浮船式取水构筑物工程的混凝土及砌体结构应符合下列规定:

主控项目1 所用的原材料、砖石砌块、构件应符合国家有关标准规定和设计要求;检查方法:检查产品的出厂质量合格证、出厂检验报告和进场复验报告。2 混凝土强度、砌筑砂浆强度应符合设计要求;检查方法:检查混凝土结构的抗压、抗冻试块报告,检查砌筑砂浆的抗压强度试块报告。3 水下基床抛石、反滤层和垫层的铺设范围、厚度应符合设计要求;构筑物结构类型、斜坡道上预制框架装配连接形式、摇臂管支墩数量与布置方式等应符合设计要求;结构稳定、位置正确,无沉降、位移、变形等现象;检查方法:观察(水下部分潜水员检查);检查施工记录、测量记录、监测记录。4 混凝土结构外光内实,外观质量无严重缺陷;砌体结构砌筑完整、灰缝饱满,无明显裂缝、通缝等现象;斜坡道的坡度、水平度满足铺轨要求;检查方法:观察;检查施工资料。一般项目5 混凝土结构外观质量不宜有一般缺陷,砌体结构砌筑齐整、缝宽均匀一致;检查方法:观察;检查技术资料。6 缆车、浮船接管车斜坡道现浇混凝土及砌体结构施工的允许偏差应符合表5.7.8—1的规定。

注:L为斜坡道总长度(mm)。7 缆车、浮船接管车斜坡道上现浇钢筋混凝土框架施工的允许偏差应符合表5.7.8—2的规定。


8 缆车、浮船接管车斜坡道上预制钢筋混凝土框架施工的允许偏差应符合表5.7.8—3的规定。

9 缆车、浮船接管车斜坡道上预制框架安装的允许偏差应符合表5.7.8—4的规定。10 缆车、浮船接管车斜坡道上钢筋混凝土轨枕、梁及轨道安装应符合表5.7.8—5的规定。

11 摇臂管钢筋混凝土支墩施工的允许偏差应符合表5.7.8—6的规定。

5.7.9 缆车、浮船式取水构筑物的接管车与浮船应符合下列规定:主控项目1 机电设备、仪器仪表应符合国家有关标准规定和设计要求,浮船接管车、摇臂管等构件、附件应符合本规范第5.4.8~5.4.13条的规定和设计要求;检查方法:观察;检查产品出厂质量报告、进口产品的商检报告及证件等;检查摇臂管及摇臂接头的现场检验几录。2 缆车、浮船接管车以及浮船上的设备布置、数量应符合设计要求,安装牢固、防腐层完整、构件无变形、各水密舱的密封性能良好;且安装检测、联动调试合格;检查方法:观察;检查安装记录、检测记录、联动调试记录及报告。3 摇臂管及摇臂接头的岸、船两端组装就位符合设计要求,调试合格;检查方法:观察;检查摇臂接头岸上试组装调试记录,安装记录、调试记录。4 浮船与摇臂管联合试运行以及缆车、浮船接管车试运转符合本规范第5.4.16~5.4.17条的规定,各种设备运行情况正常,并符合设计要求;检查方法:检查试运行报告。一般项目5 进水口处的防漂浮物装置及清理设备安装正确;检查方法:观察,检查安装记录。6 船舷外侧防撞击设施、锚链和缆绳、安全及消防器材等设置齐全、配备正确;检查方法:观察,检查安装记录。7 浮船各部尺寸允许偏差应符合表5.7.9—1的规定。

8 缆车、浮船接管车的尺寸允许偏差应符合表5.7.9—2的规定。

出自错5.7.10 岸边排放构筑物的出水口应符合下列规定:主控项目1 所用原材料、石料、防渗材料符合国家有关标准的规定和设计要求;检查方法:观察;检查每批的产品出厂质量合格证明、性能检验报告及有关的复验报告。2 混凝土强度、砌筑砂浆(细石混凝土)强度应符合设计要求;其试块的留置及质量评定应符合本规范第5.5.6条的相关规定;检查方法:检查混凝土结构的抗压、抗渗、抗冻试块试验报告,检查灌浆砂浆(或细石混凝土)的抗压强度试块试验报告。3 构筑物结构稳定、位置正确,出水口无倒坡现象;翼墙、护坡等混凝土或砌筑结构的沉降量、位移量应符合设计要求;检查方法:观察;检查施工记录、测量记录、监测记录。4 混凝土结构外光内实,外观质量无严重缺陷;砌体结构砌筑完整、灌浆密实、无裂缝、通缝、翘动等现象;检查方法:观察;检查施工资料。一般项目5 混凝土结构外观质量不宜有一般缺陷;砌体结构砌筑齐整,勾缝平整、缝宽均匀一致;抛石的范围、高度应符合设计要求;检查方法:观察;检查技术处理资料。6 翼墙反滤层铺筑断面不得小于设计要求,其后背的回填土的压实度不应小于95%;检查方法:观察;检查回填土的压实度试验报告,检查施工记录。7 变形缝位置应准确,安设顺直,上下贯通;变形缝的宽度允许偏差为0~5mm;检查方法:观察;用钢尺随机量测。8 所有预埋件、预留孔洞、排水孔位置正确;检查方法:观察。9 施工允许偏差应符合表5.7.10的规定。


5.7.11 水中排放构筑物的出水口应符合下列规定:主控项目1 所用预制构件、配件、抛石料符合国家有关标准规定和设计要求;检查方法:观察;检查每批的产品出厂质量合格证明、性能检验报告及有关的复验报告。2 出水口的位置、相邻间距及顶面高程应符合设计要求;检查方法:检查施工记录、测量记录。3 出水口顶部的出水装置安装牢固、位置正确、出水通畅;检查方法:观察(潜水员检查);检查施工记录。一般项目4 垂直顶升立管周围采用抛石等稳管保护措施的范围、高度符合设计要求;检查方法:观察(潜水员检查);检查施工记录。5 警告、警示标志及安全保护设施符合设计要求,设置齐全;检查方法:观察;检查施工记录。6 钢制构件的防腐措施符合设计要求;检查方法:观察;检查施工记录、防腐检验记录。7 施工允许偏差应符合表5.7.11的规定。

5.7.12 固定式岸边取水构筑物的进水口质量验收可按本规范第5.7.10条的规定执行。
5.7.13 固定式河床取水构筑物的进水口进水管道内垂直顶升法施工时,其进水口质量验收可参照本规范第5.7.11条的规定执行。
6 水处理构筑物
6.1 一般规定
6.1.1 本章适用于净水、污水处理构筑物结构工程施工及验收,亦适用于本规范的其他相关章节的结构工程。
6.1.2 水处理构筑物施工应符合下列规定:1 编制施工方案时,应根据设计计要求和工程实际情况,综合考虑各单体构筑物施工方法和技术措施,合理安排施工顺序,确保各单体构筑物之间的衔接、联系满足设计工艺要求;2 应做好各单体构筑物不同施工工况条件下的沉降观测;3 涉及设备安装的预埋件、预留孔洞以及设备基础等有关结构施工,在隐蔽前安装单位应参与复核;设备安装前还应进行交接验收;4 水处理构筑物底板位于地下水位以下时,应进行抗浮稳定验算;当不能满足要求时,必须采取抗浮措施;5 满足其相应的工艺设计、运行功能、设备安装的要求。
6.1.3 水处理构筑物的满水试验应符合本规范第9.2节的规定,并应符合下列规定:1 编制试验方案;2 混凝土或砌筑砂浆强度已达到设计要求;与所试验构筑物连接的已建管道、构筑物的强度符合设计要求;3 混凝土结构,试验应在防水层、防腐层施工前进行;4 装配式预应力混凝土结构,试验应在保护层喷涂前进行;5 砌体结构,设有防水层时,试验应在防水层施工以后;不设有防水层时,试验应在勾缝以后;6 与构筑物连接的管道、相邻构筑物,应采取相应的防差异沉降的措施;有伸缩补偿装置的,应保持松弛、自由状态;7 在试验的同时应进行构筑物的外观检查。并对构筑物及连接管道进行沉降量监测;8 满水试验合格后,应及时按规定进行池壁外和池顶的回填土方等项施工。
6.1.4 水处理构筑物施工完毕必须进行满水试验。消化池满水试验合格后,还应进行气密性试验。
6.1.5 水处理构筑物的防水、防腐、保温层应按设计要求进行施工,施工前应进行基层表面处理。
6.1.6 构筑物的防水、防腐蚀施工应按现行国家标准《地下工程防水技术规范》GB 50108、 《建筑防腐蚀工程施工及验收规范》GB 50212等的相关规定执行。
6.1.7 普通水泥砂浆、掺外加剂水泥砂浆的防水层施工应符合下列规定:1 宜采用普通硅酸盐水泥、膨胀水泥或矿渣硅酸盐水泥和质地坚硬、级配良好的中砂,砂的含泥量不得超过1%;2 施工应符合下列规定:1)基层表面应清洁、平整、坚实、粗糙;2)施作水泥砂浆防水层前,基层表面应充分湿润,但不得有积水;3)水泥砂浆的稠度宜控制在70~80mm,采用机械喷涂时,水泥砂浆的稠度应经试配确定;4)掺外加剂的水泥砂浆防水层厚度应符合设计要求,但不宜小于20mm;5)多层做法刚性防水层宜连续操作,不留施工缝;必须留施工缝时,应留成阶梯茬,按层次顺序,层层搭接;接茬部位距阴阳角的距离不应小于200mm;6)水泥砂浆应随拌随用;7)防水层的阴、阳角应为圆弧形;3 水泥砂浆防水层的操作环境温度不应低于5℃,基层表面应保持0℃以上;4 水泥砂浆防水层宜在凝结后覆盖并洒水养护14d;冬期应采取防冻措施。
6.1.8 位于构筑物基坑施工影响范围内的管道施工应符合下列规定:1 应在沟槽回填前进行隐蔽验收,合格后方可进行回填施工;2 位于基坑中或受基坑施工影响的管道,管道下方的填土或松土必须按设计要求进行夯实,必要时应按设计要求进行地基处理或提高管道结构强度;3 位于构筑物底板下的管道,沟槽回填应按设计要求进行;回填处理材料可采用灰土、级配砂石或混凝土等。
6.1.9 管道穿过水处理构筑物墙体时,穿墙部位施工应符合设计要求;设计无要求时可预埋防水套管,防水套管的直径应至少比管道直径大50mm。待管道穿过防水套管后,套管与管道空隙应进行防水处理。
6.1.10 构筑物变形缝的止水带应按设计要求选用,并应符合下列规定:1 塑料或橡胶止水带的形状、尺寸及其材质的物理性能,均应符合国家有关标准规定,且无裂纹、气泡、孔洞;2 塑料或橡胶止水带对接接头应采用热接,不得采用叠接;接缝应平整牢固,不得有裂口、脱胶现象;T字接头、十字接头和Y字接头,应在工厂加工成型;3 金属止水带应平整、尺寸准确,其表面的铁锈、油污应清除干净,不得有砂眼、钉孔;4 金属止水带接头应视其厚度,采用咬接或搭接方式;搭接长度不得小于20mm,咬接或搭接必须采用双面焊接;5 金属止水带在伸缩缝中的部分应涂防锈和防腐涂料;6 钢边橡胶止水带等复合止水带应在工厂加工成型。
6.2 现浇钢筋混凝土结构
6.2.1 模板施工前,应根据结构形式、施工工艺、设备和材料供应等条件进行模板及其支架设计。模板及其支架的强度、刚度及稳定性必须满足受力要求。模板设计应包括以下主要内容:1 模板的形式和材质的选择;2 模板及其支架的强度、刚度及稳定性计算,其中包括支杆支承面积的计算,受力铁件的垫板厚度及与木材接触面积的计算;3 防止吊模变形和位移的预防措施;4 模板及其支架在风载作用下防止倾倒的措施;5 各部分模板的结构设计,各结合部位的构造,以及预埋件、止水板等的固定方法;6 隔离剂的选用;7 模板及其支架的拆除顺序、方法及保证安全措施。
6.2.2 混凝土模板安装应按现行国家标准《混凝土结构工程施工质量验收规范》GB 50204的相关规定执行,并应符合下列规定:1 池壁与顶板连续施工时,池壁内模立柱不得同时作为顶板模板立柱;顶板支架的斜杆或横向连杆不得与池壁模板的杆件相连接;2 池壁模板可先安装一侧,绑完钢筋后,随浇筑混凝土随分层安装另一侧模板,或采用一次安装到顶而分层顶留操作窗口的施工方法;采用这种方法时,应符合下列规定:1)分层安装模板,其每层层高不宜超过1.5m;分层留置窗口时,窗口的层高不宜超过3m,水平净距不宜超过1.5m;斜壁的模板及窗口的分层高度应适当减小;2)有预留孔洞或预埋管时,宜在孔-或管口外径1/4~1/3高度处分层;孔径或管外径小于200mm时,可不受此限制;3)事先做好分层模板及窗口模板的连接装置,以便迅速安装;安装一层模板或窗口模板的时间不应超过混凝土的初凝时间;4)分层安装模板或安装窗口模板时,应防止杂物落入模内;3 安装池壁的最下一层模板时,应在适当位置预留清扫杂物用的窗口;在浇筑混凝土前,应将模板内部清扫干净,经检验合格后,再将窗口封闭;4 池壁模板施工时,应设置确保墙体直顺和防止浇筑混凝土时模板倾覆的装置;5 池壁的整体式内模施工,木模板为竖向木纹使用时,除应在浇筑前将模板充分湿透外,并应在模板适当间隔处设置八字缝板;拆模时,应先拆内模;6 采用穿墙螺栓来平衡混凝土浇筑对模板的侧压力时,应选用两端能拆卸的螺栓,并应符合下列规定:1)两端能拆卸的螺栓中部宜加焊止水环,且止水环不宜采用圆形;2)螺栓拆卸后混凝土壁面应留有40~50mm深的锥形槽;3)在池壁形成的螺栓锥形槽,应采用无收缩、易密实、具有足够强度、与池壁混凝土颜色一致或接近的材料封堵,封堵完毕的穿墙螺栓孔不得有收缩裂缝和湿渍现象;7 跨度不小于4m的现浇钢筋混凝土梁、板,其模板应按设计要求起拱;设计无具体要求时,起拱度宜为跨度的1/1000~3/1000;8 设有变形缝的构筑物,具变形缝处的端面模板安装还应符合下列规定:1)变形缝止水带安装应固定牢固、线形平顺、位置准确;2)止水带面中心线应与变形缝中心线对正,嵌入混凝土结构端面的位置应符合设计要求;3)止水带和模板安装中,不得损伤带面,不得在止水带上穿孔或用铁钉固定就位;4)端面模板安装位置应正确,支撑牢固,无变形、松动、漏缝等现象;9 固定在模板上的预埋管、预埋件的安装必须牢固,位置准确;安装前应清除铁锈和油污,安装后应做标志;10 模板支架的立杆和斜杆的支点应垫木板或方木。
6.2.3 混凝土模板的拆除应符合下列规定:1 整体现浇混凝土的模板支架拆除应符合下列规定:1)侧模板,应在混凝土强度能保证其表面及棱角不因拆除模板而受损坏时,方可拆除;2)底模板,应在与结构同条件养护的混凝土试块达到表6.2.3规定强度,方可拆除;

2 模板拆除时,不应对顶板形成冲击荷载;拆下的模板和支架不得撞击底板顶面和池壁墙面;3 冬期施工时,池壁模板应在混凝土表面温度与周围气温温差较小时拆除,温差不宜超过15℃,拆模后应立即覆盖保温。
6.2.4 钢筋进场检验以及钢筋加工、连接、安装等应按现行国家标准《混凝土结构工程施工质量验收规范》GB 50204的相关规定执行,并应符合下列规定:1 浇筑混凝土之前,应进行钢筋隐蔽工程验收,钢筋隐蔽工程验收应包括下列内容:1)钢筋的品种、规格、数量、位置等;2)钢筋的连接方式、接头位置、接头数量、接头面积百分率等;3)预埋件的规格、数量、位置等;2 受力钢筋的连接方式应符合设计要求,设计无要求时,应优先选择机械连接、焊接;不具备机械连接、焊接连接条件时,可采用绑扎搭接连接;3 相邻纵向受力钢筋的绑扎接头宜相互错开,绑扎搭接接头中钢筋的横向净距不应小于钢筋直径,且不小于25mm;并符合以下规定:1)钢筋搭接处,应在中心和两端用钢丝扎牢;2)钢筋绑扎搭接接头连接区段长度为1.3L1(L1为搭接长度),凡搭接接头中点位于连接区段长度内的搭接接头均属于同一连接区段;同一连接区段内,纵向钢筋搭接接头面积百分率为该区段内有搭接接头的纵向受力钢筋截面面积的比值(图6.2.4);3)同一连接区段内。纵向受力钢筋搭接接头面积百分率应符合设计要求;设计无具体要求时,受压区不得超过50%;受拉区不得超过25%;池壁底部和顶部与顶板施工缝处的预埋竖向钢筋可按50%控制,并应按本规范规定的受拉区钢筋搭接长度增加30%;4)设计无要求时,纵向受力钢筋绑扎搭接接头的最小搭接长度应按表6.2.4的规定执行;

4 受力钢筋采取机械连接、焊接连接时,应按设计要求及现行国家标准《混凝土结构工程施工质量验收规范》GB 50204的相关规定执行;5 钢筋安装时的保护层厚度应符合现行国家标准《给水排水工程构筑物结构设计规范》GB 50069的相关规定;保护层厚度尺寸的控制应符合下列规定:1)钢筋的加工尺寸、模板和钢筋的安装位置应正确;2)模板支撑体系、钢筋骨架等应安装固定且牢固,确保在施工荷载下不变形、走动;3)控制保护层的垫块、杆件等尺寸正确、布置合理、支垫稳固;6 基础、顶板钢筋采取焊接排架的方法固定时,排架固定的间距应根据钢筋的刚度选择;7 成型的网片或骨架必须稳定牢固,不得有滑动、折断、位移、伸出等情况;8 变形缝止水带安装部位、预留开孔等处的钢筋应预先制作成型,安装位置准确、尺寸正确、安装牢固;9 预埋件、预埋螺栓及插筋等,其埋入部分不得超过混凝土结构厚度的3/4。
6.2.5 混凝土浇筑的施工方案应包括以下主要内容:1 混凝土配合比设计及外加剂的选择;2 混凝土的搅拌及运输;3 混凝土的分仓布置、浇筑顺序、速度及振捣方法;4 预留施工缝后浇带的位置及要求;5 预防混凝土施工裂缝的措施;6 季节性施工的特殊措施;7 控制工程质量的措施;8 搅拌、运输及振捣机械的型号与数量。
6.2.6 混凝土原材料的质量控制应按现行国家标准《混凝土结构工程施工质量验收规范》GB 50204的相关规定执行,并应符合下列规定:1 主体结构的混凝土宜使用同品种、同强度等级的水泥拌制;也可按底板、池壁、顶板等分别采用同品种、同强度等级的水泥;2 配制现浇混凝土的水泥应符合下列规定:1)宜采用普通硅酸盐水泥、火山灰质硅酸盐水泥;掺用外加剂时,可采用矿渣硅酸盐水泥;2)冬期施工宜采用普通硅酸盐水泥;3)有抗冻要求的混凝土,宜采用普通硅酸盐水泥,不宜采用火山灰质硅酸盐水泥和粉煤灰硅酸盐水泥;4)水泥进场时应进行性能指标复验,其质量必须符合现行国家标准《通用硅酸盐水泥》GB 175等的规定;严禁使用含氯化物的水泥;5)对水泥质量有怀疑或水泥出厂超过三个月(快硬硅酸盐水泥超过一个月)时,应进行复验,并按复验结果使用;3 粗、细骨料的质量应符合国家现行标准《混凝土用砂、石质量及检验方法标准》JGJ 52的规定,且符合下列规定:1)粗骨料最大颗粒粒径不得大于结构截面最小尺寸的1/4,不得大于钢筋最小净距的3/4,同时不宜大于40mm;采用多级级配时,其规格及级配应通过试验确定;2)粗骨料的含泥量不应大于1%,吸水率不应大于1.5%;3)混凝土的细骨料,宜采用中、粗砂,其含泥量不应大于3%;4 拌制混凝土宜采用对钢筋混凝土的强度及耐久性无影响的洁净水;5 外加剂的质量及技术指标应符合现行国家标准《混凝土外加剂》GB 8076、《混凝土外加剂应用技术规范》GB 50119和有关环境保护的规定,并通过试验确定其适用性和用量;不得掺入含有氯盐成分的外加剂;6 掺用矿物掺合料时,其质量应符合国家有关标准规定,且矿物掺合料的掺量应通过试验确定;7 混凝土中碱的总含量应符合现行国家标准《给水排水工程构筑物结构设计规范》GB 50069的规定和设计要求。
6.2.7 混凝土配合比及拌制应符合下列规定:1 配合比的设计,应保证结构设计要求的强度和抗渗、抗冻性能,并满足施工的要求;2 配合比应通过计算和试配确定;3 宜选择具有一定自补偿性能的材料配比;或在满足设计和施工要求的前提下,应适量降低水泥用量;4 混凝土拌制前,应测定砂、石含水率并根据测试结果调整材料用量,提出施工配合比;5 首次使用的混凝土配合比应进行开盘鉴定,其工作性质满足设计配合比的要求;开始生产时应至少留置一组标准养护试件,作为验证配合比的依据;6 混凝土原材料每盘称量的偏差应符合表6.2.7的规定。

注:1 各种衡器应定期校验,每次使用前应用进行零点校核,保持计量准确;2 雨期或含水率有显著变化时,应增加含水率检测次数,并及时调整水和骨料用量。
6.2.8 混凝土试块的留置及混凝土试块验收合格标准应符合下列规定:1 混凝土试块应在混凝土的浇筑地点随机抽取;2 混凝土抗压强度试块的留置应符合下列规定:1)标准试块:每构筑物的同一配合比的混凝土,每工作班、每拌制100m3混凝土为一个验收批,应留置一组,每组三块;当同一部位、同一配合比的混凝土一次连续浇筑超过1000m3时,每拌制200m3混凝土为一个验收批,应留置一组,每组三块;2)与结构同条件养护的试块:根据施工方案要求,按拆模、施加预应力和施工期间临时荷载等需要的数量留置;3 抗渗试块的留置应符合下列规定:1)同一配合比的混凝土,每构筑物按底板、池壁和顶板等部位,每一部位每浇筑500m3混凝土为一个验收批,留置一组,每组六块;2)同一部位混凝土一次连续浇筑超过2000m3时,每浇筑1000m3混凝土为一个验收批,留置一组,每组六块;4 抗冻试块的留置应符合下列规定:1)同一抗冻等级的抗冻混凝土试块每构筑物留置不少于一组;2)同一个构筑物中,同一抗冻等级抗冻混凝土用量大于2000m3时,每增加1000m3混凝土增加留置一组试块;5 冬期施工,应增置与结构同条件养护的抗压强度试块两组。一组用于检验混凝土受冻前的强度,另一组用于检验解冻后转入标准养护28d的强度;并应增置抗渗试块一组,用于检验解冻后转入标准养护28d的抗渗性能;6 混凝土的抗压、抗渗、抗冻试块符合下列要求的,应判定为验收合格:1)同批混凝土抗压试块的强度应按现行国家标准《混凝土强度检验评定标准》GBJ 107的规定评定,评定结果必须符合设计要求;2)抗渗试块的抗渗性能不得低于设计要求;3)抗冻试块在按设计要求的循环次数进行冻融后,其抗压极限强度同检验用的相当龄期的试块抗压极限强度相比较,其降低值不得超过25%;其重量损失不得超过5%。
6.2.9 混凝土的浇筑必须在模板和支架检验符合施工方案要求后,方可进行;入模时应防止离析,连续浇筑时每层浇筑高度应满足振捣密实的要求。
6.2.10 采用振捣器捣实混凝土应符合下列规定:1 振捣时间,应使混凝土表面呈现浮浆并不再沉落;2 插入式振捣器的移动间距,不宜大于作用半径的1.5倍;振捣器距离模板不宜大于振捣器作用半径的1/2;并应尽量避免碰撞钢筋、模板、止水带、预埋管(件)等;振捣器宜插入下层混凝土50mm;3 表面振动器的移动间距,应能使振动器的平板覆盖已振实部分的边缘;4 浇筑预留孔洞、预埋管、预埋件及止水带等周边混凝土时,应辅以人工插捣。
6.2.11 变形缝处止水带下部以及腋角下部的混凝土浇筑作业,应确保混凝土密实,且止水带不发生位移。
6.2.12 混凝土运输、浇筑及间歇时间不应超过混凝土的初凝时间。同一施工段的混凝土应连续浇筑,并应在底层混凝土初凝之前将上一层混凝土浇筑完毕。底层混凝土初凝后浇筑上一层混凝土时,应留置施工缝。
6.2.13 混凝土底板和顶板,应连续浇筑不得留置施工缝;设计有变形缝时,应按变形缝分仓浇筑。
6.2.14 构筑物池壁的施工缝设置应符合设计要求,设计无要求时,应符合下列规定:1 池壁与底部相接处的施工缝,宜留在底板上面不小于200mm处;底板与池壁连接有腋角时,宜留在腋角上面不小于200mm处;2 池壁与顶部相接处的施工缝,宜留在顶板下面不小于200mm处;有腋角时,宜留在腋角下部。3 构筑物处地下水位或设计运行水位高于底板顶面8m时,施工缝处宜设置高度不小于200mm、厚度不小于3mm的止水钢板。
6.2.15 浇筑施工缝处混凝土应符合下列规定:1 已浇筑混凝土的抗压强度不应小于2.5MPa;2 在已硬化的混凝土表面上浇筑时,应凿毛和冲洗干净,并保持湿润,但不得积水;3 浇筑前,施工缝处应先铺一层与混凝土强度等级相同的水泥砂浆,其厚度宜为15~30mm;4 混凝土应细致捣实,使新旧混凝土紧密结合。
6.2.16 后浇带浇筑应在两侧混凝土养护不少于42d以后进行,其混凝土技术指标不得低于其两侧混凝土。
6.2.17 浇筑倒锥壳底板或拱顶混凝土时,应由低向高、分层交圈、连续浇筑。
6.2.18 浇筑池壁混凝土时,应分层交圈、连续浇筑。
6.2.19 混凝土浇筑完成后,应按施工方案及时采取有效的养护措施,并应符合下列规定:1 应在浇筑完成后的12h以内,对混凝土加以覆盖并保湿养护;2 混凝土浇水养护的时间不得少于14d,保持混凝土处于湿润状态;3 用塑料布覆盖养护时,敞露的混凝土表面应覆盖严密,并应保持塑料布内有凝结水;4 混凝土强度达到1.2MPa前,不得在其上踩踏或安装模板及支架;5 环境最低气温不低于-15℃时,可采用蓄热法养护;对预留孔、洞以及迎风面等容易受冻部位,应加强保温措施。
6.2.20 蒸汽养护时,应使用低压饱和蒸汽均匀加热,最高温度不宜大于30℃;升温速度不宜大于10℃/h;降温速度不宜大于5℃/h。掺加引气剂的混凝土严禁采取蒸汽养护。
6.2.21 池内加热养护时,池内温度不得低于5℃,且不宜高于15℃,并应牺水养护,保持湿润。池壁外侧应覆盖保温。
6.2.22 水处理构筑物现浇钢筋混凝土不宜采用电热养护。
6.2.23 日最高气温高于30℃施工时,可选用下列措施:1 骨料经常洒水降温,或加棚盖防晒;2 掺入缓凝剂;3 适当增大混凝土的坍落度;4 利用早晚气温较低的时间浇筑混凝土;5 混凝土浇筑完毕后及时覆盖养护,防止暴晒,并应增加浇水次数,保持混凝土表面湿润。
6.2.24 冬期浇筑的混凝土冷却前应达到设计要求的临界强度。在满足临界强度情况下,宜降低入模温度。
6.2.25 浇筑大体积混凝上结构时,应有专项施工方案和相应的技术措施。
6.3 装配式混凝土结构
6.3.1 预制装配式混凝土结构施工应符合下列规定:1 后张法预应力的施工应符合本规范第6.4节的相关规定和设计—要求;2 除按本节规定施工外,还应符合现行国家标准《混凝土结构工程施工质量验收规范》GB 50204的相关规定和设计要求。
6.3.2 构件的堆放应符合下列规定:1 应按构件的安装部位,配套就近堆放;2 堆放时,应按设计受力条件支垫并保持稳定;曲梁应采用三点支承;3 堆放构件的场地,应平整夯实,并有排水措施;4 构件的标识应朝向外侧。
6.3.3 构件运输及吊装时的混凝土强度应符合设计要求,当设计无要求时,不应低于设计强度的75%。
6.3.4 预制构件与现浇结构之间、预制构件之间的连接应按设计要求进行施工。
6.3.5 现浇混凝土底板的杯槽、杯口安装模板前,应复测杯槽、杯口中心线位置;杯槽、杯口模板必须安装牢固。
6.3.6 杯槽内壁与底板的混凝土应同时浇筑,不应留置施工缝;宜后浇筑杯槽外壁混凝土。
6.3.7 预制构件安装前,应复验合格;有裂缝的构件应进行鉴定。
6.3.8 预制柱、梁及壁板等在安装前应标注中心线,并在杯槽、杯口上标出中心线。
6.3.9 预制构件安装前应将不同类别的构件按预定位置顺序编号,并将与混凝土连接的部位进行凿毛,清除浮渣、松动的混凝土。
6.3.10 构什应按设计位置起吊,曲梁宜采用三点吊装。吊绳与构件平面的交角不应小于45°;小于45°时,应进行强度验算。
6.3.11 构件安装就位后,应采取临时固定措施。曲梁应在梁的跨中设临时支撑,待二次混凝土达到设计强度的75%及以上时,方可拆除支撑。
6.3.12 安装的构件,必须在轴线位置及高程进行校正后焊接或浇筑接头混凝土。
6.3.13 构筑物壁板的接缝施工应符合下列规定:1 壁板接缝的内模在保证混凝土不离析的条件下,宜一次安装到顶;分段浇筑时,外模应随浇、随支,分段支模高度不宜超过1.5m;2 浇筑前,接缝的壁板表面应洒水保持湿润,模内应洁净;3 壁板间的接缝宽度,不宜超过板宽的1/10;缝内浇筑细石混凝土或膨胀性混凝土,其强度等级应符合设计要求;设计无要求时,应比壁板混凝土强度等级提高一级;4 应根据气温和混凝土温度,选择壁板缝宽较大时进行浇筑;5 混凝土如有离析现象,应进行二次拌合;6 混凝土分层浇筑厚度不宜超过250mm,并应采用机械振捣,配合人工捣固。
6.4 预应力混凝土结构
6.4.1 本节适用于下列后张法预应力混凝土结构施工:1 装配式或现浇预应力混凝土圆形水处理构筑物;2 不设变形缝、设计附加预应力的现浇混凝土矩形水处理构筑物。
6.4.2 预应力筋、锚具、夹具和连接器的进场检验应按现行国家标准《混凝土结构工程施工质量验收规范》GB 50204的相关规定和设计要求执行,并应符合下列规定:1 按设计要求选用预应力筋、锚具、夹具和连接器;2 无粘结预应力筋应符合下列规定:1)预应力筋外包层材料,应采用聚乙烯或聚丙烯,严禁使用聚氯乙烯;外包层材料性能应满足国家现行标准《无粘结预应力混凝土结构技术规程》JGJ 92的要求;2)预应力筋涂料层应采用专用防腐油脂,其性能应满足国家现行标准《无粘结预应力混凝土结构技术规程》JGJ 92的要求;3)必须采用Ⅰ类锚具,锚具规格应根据无粘结预应力筋的品种、张拉吨位以及工程使用情况选用;3 测定钢丝、钢筋预应力值的仪器和张拉设备应在使用前进行校验、标定;张拉设备的校验期限,不应超过半年;张拉设备出现反常现象或在千斤顶检修后,应重新校检;4 预应力筋下料应符合下列规定:1)应采用砂轮锯和切断机切断,不得采用电弧切断;2)钢丝束两端采用镦头锚具时,同一束中各根钢丝长度差异不应大于钢丝长度的1/5000,且不应大于5mm;成组张拉长度不大于10m的钢丝时,同组钢丝长度差异不得大于2mm。
6.4.3 施工过程中应避免电火花损伤预应力筋,受损伤的预应力筋应予以更换;无粘结预应力筋外包层不应破损。
6.4.4 圆形构筑物的环向预应力钢筋的布置和锚固位置应符合设计要求。采用缠丝张拉时,锚具槽应沿构筑物的周长均匀布置,其数量应不少于下列规定:1 直径小于或等于25m时,可采用4条;2 直径大于25m、小于或等于50m时,可采用6条;3 直径大于50m可采用8条;4 构筑物底端不能缠丝的部位,应在附近局部加密环向预应力筋。
6.4.5 后张法有粘结预应力筋预留孔道安装和无粘结预应力筋铺设应符合下列规定:1 应按现行国家标准《混凝土结构工程施工质量验收规范》GB 50204的相关规定和设计要求执行;2 有粘结预应力筋的预留孔道,其产品尺寸和性能应符合国家有关标准规定和设计要求;波纹管孔道,安装前其表面应清洁、无锈蚀和油污,安装应稳固;安装后无孔洞、裂缝、变形,接口不应升裂或脱口;3 无粘结预应力筋施工应符合下列规定;1)锚固肋数量和布置,应符合设计要求;设计无要求时,应保证张拉段无粘结预应力筋长不超过50m,且锚固肋数量为双数;2)安装时,上下相邻两环无粘结预应力筋锚固位置应错开一个锚固肋;以锚固肋数量的一半为无粘结预应力筋分段(张拉段)数量;每段无粘结预应力筋的计算长度应考虑加入一个锚固肋宽度及两端张拉工作长度和锚具长度;3)应在浇筑混凝土前安装、放置;浇筑混凝土时,严禁踏压撞碰无粘结预应力筋、支撑架以及端部预埋件;4)无粘结预应力筋不应有死弯,有死弯时必须切断;5)无粘结顶应力筋中严禁有接头;4 在预留孔洞套管位置的预应力筋布置应符合设计要求。
6.4.6 预应力筋安装完毕,应进行预应力筋隐蔽工程验收,其内容包括:1 预应力筋的品种、规格、数量、位置等;2 锚具、连接器的品种、规格、位置、数量等;3 锚垫板、锚固槽的位置、数量等;4 预留孔道的规格、数量、位置、形状及灌浆孔、排气兼泌水管设置等;5 锚固区局部加强构造等。
6.4.7 预应力筋张拉或放张应制定专项施工方案,明确施工组织,确定施工方法、施工顺序、控制应力、安全措施等。
6.4.8 预应力筋张拉或放张时,混凝土强度应符合设计要求;设计无具体要求时,不得低于设计强度的75%。
6.4.9 圆形构筑物缠丝张拉应符合下列规定:1 缠丝施加预应力前,应先清除池壁外表面的混凝土浮粒、污物,壁板外侧接缝处宜采用水泥砂浆抹平压光,洒水养护;2 施加预应力前,应在池壁上标记预应力钢丝、钢筋的位置和次序号;3 缠绕环向预应力钢丝施工应符合下列规定:1)预应力钢丝接头应密排绑扎牢固,其搭接长度不应小于250mm;2)缠绕预应力钢丝,应由池壁顶向下进行,第一圈距池顶的距离应按设计要求或按缠丝机性能确定,并不宜大于500mm;3)池壁两端不能用绕丝机缠绕的部位,应在顶端和底端附近局部加密或改用电热张拉;4)池壁缠丝前,在池壁周围,必须设置防护栏杆;已缠绕的钢丝,不得用尖硬或重物撞击;4 施加预应力时,每缠一盘钢丝应测定一次钢丝应力,并应按本规范附录表C.0.2的规定做记录。
6.4.10 圆形构筑物电热张拉钢筋施工应符合下列规定:1 张拉前,应根据电工、热工等参数计算伸长值,并应取一环作试张拉,进行验证;2 预应力筋的弹性模量应由试验确定;3 张拉可采用螺丝端杆,墩粗头插U形垫板,帮条锚具U形垫板或其他锚具;4 张拉作业应符合下列规定:1)张拉顺序,设计无要求时,可由池壁顶端开始,逐环向下;2)与锚固肋相交处的钢筋应有良好的绝缘处理;3)端杆螺栓接电源处应除锈,并保持接触紧密;4)通电前,钢筋应测定初应力,张拉端应刻画伸长标记;5)通电后,应进行机具、设备、线路绝缘检查,测定电流、电压及通电时间;6)电热温度不应超过350℃;7)张拉过程中应采用木锤连续敲打各段钢筋;8)伸长值控制允许偏差为±6%;经电热达到规定的伸长值后,应立即进行锚固,锚固必须牢固可靠;9)每一环预应力筋应对称张拉,并不得间断;10)张拉应一次完成;必须重复张拉时,同一根钢筋的重复次数不得超过3次,当发生裂纹时,应更换预应力筋;11)张拉过程中,发现钢筋伸长时间超过预计时间过多时,应立即停电检查;5 应在每环钢筋中选一根钢筋,在其两端和中间附近各设一处测点进行应力值测定;初读数应在钢筋初应力建立后通电前测量,末读数应在断电并冷却后测量;6 电热张拉应按本规范附录表C.0.3和表C.0.4的规定做记录。
6.4.11 预应力筋保护层的施工应在满水试验合格后、池内满水条件下进行喷浆。喷浆层的厚度,应满足预应力钢筋的净保护层厚度且不应小于20mm。
6.4.12 喷射水泥砂浆预应力筋保护层施工应符合下列规定:1 水泥砂浆的配制应符合下列规定:1)砂子粒径不得大于5mm;细度模数应为2.3~3.7,最优含水率应经试验确定;2)配合比应符合设计要求,或经试验确定;五条件试验时,其灰砂比宜为1:2~1:3;水灰比宜为0.25~0.35;3)水泥砂浆强度等级应符合设计要求;设计无要求时不应低于M30;4)砂浆应拌合均匀。随拌随喷;存放时间不得超过2h;2 喷浆作业应符合下列规定:1)喷浆前,必须对工作画进行除污、去油、清洗等处理;2)喷浆机罐内压力宜为0.5MPa,供水压力应相适应;输料管长不宜小于10m;管径不宜小于25mm;3)应沿池壁的圆周方向自下向上喷浆;喷口至工作面的距离应视回弹及喷层密实情况确定;4)喷枪应与喷射面保持垂直,受障碍物影响时,喷枪与喷射面夹角不应大于15°;5)喷浆时应连续,层厚均匀密实;6)喷浆宜在气温高于15℃时进行,大风、冰冻、降雨或当日气温低于0℃时,不得进行喷浆作业;3 水泥砂浆保护层凝结后应加遮盖,保持湿润并不应少于14d;4 在进行下一道分项工程前,应对水泥砂浆保护层进行外观和粘结情况的检查,有空鼓、开裂等缺陷现象时,应凿开检查并修补密实;5 水泥砂浆试块强度验收应符合本规范第6.5.3条规定,试块留置:喷射作业开始、中间、结束时各留置一组试块,共三组,每组六块;每构筑物、每工作班为一个验收批。
6.4.13 有粘结、无粘结预应力筋的后张法张拉施工应符合下列规定:1 张拉前,应清理承压板面,检查承压板后面的混凝土质量;2 张拉顺序应符合设计要求;设计无要求时,可分批、分阶段对称张拉或依次张拉;3 张拉程序应符合设计要求;设计无要求时,宜符合下列规定:1)采用具有自锚性能的锚具、普通松弛力筋时,张拉程序为0→初应力→1.03σcon(锚固);2)采用具有自锚性能的锚具、低松弛力筋时,张拉程序为0→初应力→σcon(持荷2min锚固);3)采用其他锚具时,张拉程序为0→初应力→1.05σcon(持荷2min)→σcon(锚固);4 预应力筋张拉时,应采用张拉应力和伸长值双控法,其预应力筋实际伸长值与计算伸长值的允许偏差为±6%,张拉锚固后预应力值与规定的检验值的允许偏差为±5%;5 张拉过程中应避免预应力筋断裂或滑脱,断裂或滑脱的数量严禁超过同一截面预应力筋总根数的3%,且每束钢丝不得超过一根;6 张拉端预应力筋的内缩量限值应符合表6.4.13的规定;

7 张拉过程应按本规范附录表C. 0.1的规定填写张拉记录;8 预应力筋张拉完毕,宜采用砂轮锯或其他机械方法切断超长部分,严禁采用电弧切断;9 无粘结预应力张拉应符合下列规定:1)张拉段无粘结顶应力筋长度小于25m时,宜采用一端张拉;张拉段无粘结预应力筋长度大于25m而小于50m时,宜采用两端张拉;张拉段无粘结预应力筋长度大于50m时,宜采用分段张拉和锚固;2)安装张拉设备时,直线的无粘结预应力筋,应使张拉力的作用线与预应力筋中心重合;曲线的无粘结预应力筋,应使张拉力的作用线与预应力筋中心线末端重合;10 封锚应符合设计要求;设计无要求时应符合下列规定:1)凸出式锚固端锚具的保护层厚度不应小于50mm;2)外露预应力筋的保护层厚度不应小于50mm;3)封锚混凝土强度不得低于相应结构混凝土强度,且不得低于C40。
6.4.14 有粘结预应力筋张拉后应尽早进行孔道灌浆;孔道水泥浆灌浆应符合下列规定:1 孔道内水泥浆应饱满、密实,宜采用真空灌浆法;2 水灰比宜为0.4~0.45,宜掺入0.01%水泥用量的铝粉;搅拌后3h泌水率不宜大于2%,泌水应能在24h内全部重新被水泥浆吸收;3 水泥浆的抗压强度应符合设计要求;设计无要求时不应小于30MPa;4 水泥浆抗压强度的试块留置:每工作班为一个验收批,至少留置一组,每组六块;试块强度验收应符合本规范第6.5.3条规定。
6.4.15 预应力筋保护层、孔道灌浆和封锚等所用的水泥砂浆、水泥浆、混凝土,均不得含有氯化物。
6.5 砌体结构
6.5.1 砌体所用的材料,应符合下列规定:1 机制烧结砖的强度等级不应低于MU10,其外观质量应符合现行国家标准《烧结普通砖》GB/T 5101一等品的要求;2 石材强度等级不应低于MU30,且质地坚实,无风化剥层和裂纹;3 砌块的强度等级应符合设计要求;4 进入现场砖、石等砌块应符合现行国家标准《砌体工程施工质量验收规范》GB 50203的相关规定。水泥、砂应符合本规范第6.2.6条的相关规定:5 砌筑砂浆应采用水泥砂浆,其强度等级应符合设计要求,且不应低于M10;6 应采用机械搅拌砂浆,搅拌时间不得少于2min,并应在初凝前使用;出现泌水时应拌合均匀后再用。
6.5.2 砌筑砂浆试块留置及验收批:每座砌体水处理构筑物的同一类型、强度等级砂浆,每砌筑100m3砌体的砂浆作为一个验收批,强度值应至少检查一次,每次应留置试块一组;砂浆组成材料有变化时,应增加试块留置数量。
6.5.3 砌筑砂浆试块强度验收时其强度合格标准应符合下列规定:1 每个构筑物各组试块的抗压强度平均值不得低于设计强度等级所对应的立方体抗压强度;2 各组试块中的任意一组的强度平均值不得低于设计强度等级所对应的立方体抗压强度的75%。
6.5.4 砌体结构的砌筑施工除符合本节规定外,还应符合现行国家标准《砌体工程施工质量验收规范》GB 50203的相关规定和设计要求。
6.5.5 砌筑前应将砖石、砌块表面上的污物和水锈清除。砌石(块)应浇水湿润,砖应用水浸透。
6.5.6 砌体中的预埋管洞口结构应加强,并有防渗措施;设计无要求时,可采用管外包封混凝土法(对于金属管还应加焊止水环后包封);包封的混凝土抗压强度等级不小于C25,管外浇筑厚度不应小于150mm。
6.5.7 砌筑池壁不得用于脚手架支搭。
6.5.8 砌体砌筑完毕,应即进行养护,养护时间不应少于7d。
6.5.9 砌体水处理构筑物冬期不宜施工。
6.5.10 砖砌池壁施工应符合下列规定:1 各砖层间应上下错缝,内外搭砌,灰缝均匀一致;2 水平灰缝厚度和竖向灰缝宽度宜为10mm,且不小于8mm、不大于12mm;圆形池壁,里口灰缝宽度不应小于5mm;3 转角或交接处应同时砌筑,对不能同时砌筑而需留置的临时间断处应砌成斜槎,斜槎水平投影长度不得小于高度的2/3。
6.5.11 砌砖时砂浆应满铺满挤,挤出的砂浆应随时刮平,严禁用水冲浆灌缝,严禁用敲击砌体的方法纠正偏差。
6.5.12 石砌池壁施工应符合下列规定:1 分皮砌筑,上下错缝,丁、顺搭砌,分层找齐;2 灰缝厚度:细料石砌体不宜大于10mm,粗料石砌体不宜大于20mm;3 水平缝,宜采用坐浆法;竖向缝,宜采用灌浆法。
6.5.13 砌石位置偏移时,应将料石提起,刮除灰浆后再砌;并应防止碰动邻近料石,不得撬动或敲击。
6.5.14 石砌体的勾缝应符合下列规定:1 勾缝前,应清扫干净砌体表面上粘结的灰浆、泥污等,并洒水湿润;2 勾缝灰浆宜采用细砂拌制的1:1.5水泥砂浆;砂浆嵌入深度不应小于20mm;3 勾缝宽窄均匀、深浅一致,不得有假缝、通缝、丢缝、断裂和粘结不牢等现象;4 勾缝完毕应清扫砌体表面粘附的灰浆;5 勾缝砂浆凝结后,应及时养护。
6.6 塘体结构
6.6.1 塘体基槽施工应符合本规范第4章的相关规定和设计要求,并应符合下列规定:1 开挖时,应严格控制基底高程和边坡坡度;采用机械开挖时,基底和边坡应至少留出150mm,由人工挖至设计标高和边坡坡度;如局部出现超挖,必须按设计要求进行处理;2 基底和边坡不得有树根、石块、草皮等杂物,避免受水浸泡和受冻;发现有与勘察报告不符合的土质时,应进行清除,按设计要求处理;3 基底坡脚线和边坡上口线应修边整齐、顺直;基底应平整,不得有反坡;边坡顶面不得随意堆土。
6.6.2 塘体的衬里、护坡结构施工前,应将施工影响范围的基底面、坡面、坡顶面清理干净,并整平;基底和边坡的土体应密实,其密实度应达到设计要求;坡脚结构应按设计要求进行施工,稳定牢固。
6.6.3 塘体护坡、护坦施工应符合下列规定:1 护坡类型、结构形式等应按设计要求确定;2 应由坡底向坡顶依次进行施工;3 施工应按本规范第5.5.4条的相关规定执行。
6.6.4 塘体衬里的类型、结构层应按设计 要求进行施工;衬里应完整、平顺、稳定;衬里的施工质量检验应符合设计要求和国家有关规范规定。
6.6.5 塘体防渗施工应符合下列规定;1 防渗材料性能、规格、质量应按设计要求严格控制;2 防渗材料应按国家有关标准、规定进行检验;3 防渗部位应按设计要求进行施工;4 预埋管的防渗措施应符合设计要求。
6.6.6 塘体混凝土、砌体结构工程施工应符合本规范第6.2~6.5节和6.7节的相关规定。
6.6.7 与塘体连接的预制管道铺设应符合现行国家标准《给水排水管道工程施工及验收规范》GB 50268的相关规定。
6.7 附属构筑物
6.7.1 主体构筑物的走道平台、梯道、设备基础、导流墙(槽)、支架、盖板、栏杆等的细部结构工程,各类工艺井(如吸水井、泄空井、浮渣井)、管廊桥架、闸槽、水槽(廊)、堰口、穿孔、孔口等的工艺辅助构筑物工程,以及连接管道、管渠工程等的施工应符合本节的规定。
6.7.2 附属构筑物工程施工应符合下列规定:1 应合理安排与其相关的构筑物施工顺序,确保结构和施工安全;2 地基基础受到已建构筑物的施工影响或处于已建构筑物的基坑范围内时,应按设计要求进行地基处理;3 施工前,应对与其相关的已建构筑物进行测量复核;4 有关土石方、地基基础、结构等工程施工应按本规范第4、6章等的规定进行;5 应做好相邻构筑物的沉降观测工作。
6.7.3 细部结构、工艺辅助构筑物工程施工应符合下列规定:1 构筑物水平位置、高程、结构尺寸、工艺尺寸等应符合设计要求;2 对薄壁混凝土结构或外形复杂的构筑物,采取相应的施工技术措施,确保模板及支架稳固、拼接严密,防止钢筋变形、走动,避免混凝土缺陷的出现;3 施工中应严格控制过水的堰、口、孔、槽等高程和线形;4 细部结构与主体结构刚性连接,其变形缝设置应一致、贯通;5 与已浇筑结构衔接施工时,应调正预留钢筋、插筋,钢筋接头应符合本规范第6.2.4条的相关规定;混凝土结合面应按施工缝要求处置;6 设备基础、穿墙管道、闸槽等采用二次混凝土或灌浆施工的应密实不渗,宜选择具有流动性好、早强快凝的微膨胀混凝土或灌浆材料;7 穿墙部位施工,其接缝填料、止水措施应符合设计要求。
6.7.4 混凝土试块的留置及混凝土试块验收合格标准应符合本规范第6.2.8条的规定,其验收批的确定应符合下列规定:1 相继连续浇筑,同一混凝土配比、且均一次浇筑成型的若干个附属构筑物,抗压试块每次累计浇筑100m3作为一个验收批留置。无需区分构筑物;抗渗试块亦按每次累计浇筑500m3作为一个验收批留置,无需区分底板、侧墙和顶板;2 同一混凝土配比的主体和附属构筑物同时浇筑时,应以主体结构为主设验收批,该附属构筑物无需再单独留置试块;3 设置施工缝、分次浇筑的较大型混凝土附属构筑物,验收批仍应按本规范第6.2.8条的规定执行;4 现浇钢筋混凝土管渠,应按本规范第6.2.8条的规定执行;连续浇筑若干节管渠,可按不超过4节或100m的施工段作为一个验收批留置。
6.7.5 砌筑砂浆试块留置及砂浆试块验收合格标准应符合本规范第6.5.2、6.5.3条的规定,其验收批的确定应符合下列规定:1 构筑物类型相同且单个砌体不足30m3时,该类型构筑物每次累计砌筑100m3作为一个验收批;2 砌体结构管渠可按两道变形缝之间的施工段作为一个验收批。
6.7.6 砌体结构管渠的施工应符合本规范第6.5节的相关规定和设计要求,并应符合下列规定:1 管渠变形缝施工应符合下列规定:1)变形缝内应清除干净,两侧应涂刷冷底子油一道;2)缝内填料应填塞密实;3)灌注沥青等填料应待灌注底板缝的沥青冷却后,再灌注墙缝,并应连续灌满灌实;4)缝外墙面铺贴沥青卷材时,应将底层抹平,铺贴平整,不得有拥包现象;2 砌筑拱圈应符合下列规定:1)拱胎的模板尺寸应符合施工方案要求,并留出模板伸胀缝,板缝应严实平整;2)拱胎的安装应稳固,高程准确,拆装简易;3)砌筑前,拱胎应充分湿润,冲洗干净,并均匀涂刷隔离剂;4)砌筑应自两侧向拱中心对称进行,灰缝匀称,拱中心位置正确,灰缝砂浆饱满严密;5)应采用退茬法砌筑,每块砌块退半块留茬,拱圈应在24h内封顶,两侧拱圈之间应满铺砂浆,拱顶上不得堆置器材;3 采用混凝土砌块砌筑拱形管渠或管渠的弯道时,宜采用楔形或扇形砌块;砌体垂直灰缝宽度大于30mm时,应采用细石混凝土灌实,混凝土强度等级不应小于C20;4 反拱砌筑应符合下列规定:1)砌筑前,应按设计要求的弧度制作反拱的样板,沿设计轴线每隔10m设一块;2)根据样板挂线,先砌中心的一列砖、石,并找准高程后接砌两侧,灰缝不得凸出砖面,反拱砌筑完成后。应待砂浆强度达到设计抗压强度的75%时,方可踩压;3)反拱表面应光滑平顺,高程允许偏差应为±10mm;5 拱形管渠侧墙砌筑养护完毕安装拱胎前,两侧墙外回填土时,墙内应采取措施,保持墙体稳定;6 砌筑后的砌体应及时进行养护,并不得遭受冲刷、振动或撞击;砂浆强度达到设计抗压强度的75%时,方可在无振动条件下拆除拱胎;7 砌筑结构管渠抹面应符合下列规定:1)渠体表面粘接的杂物应清理于净,并洒水湿润;2)水泥砂浆抹面宜分两道,第一道抹面应刮平使表面造成粗糙纹,第二道抹平后,应分两次压实抹光;3)抹面应压实抹平,施工缝留成阶梯形;接茬时,应先将留茬均匀涂刷水泥浆一道,并依次抹压,使接茬严密;阴阳角应抹成圆角;4)抹面砂浆终凝后,应及时保持湿润养护,养护时间不宜少于14d;8 安装矩形管渠钢筋混凝土盖板应符合下列规定:1)安装前,墙顶应清扫干净,洒水湿润,而后铺浆安装;2)安装的板缝宽度应均匀一致,吊装时应轻放,不得碰撞;3)盖板就位后,相邻板底错台不应大于10mm,板端压墙长度,允许偏差为±10mm;板缝及板端的三角灰,采用水泥砂浆填实。
6.7.7 现浇钢筋混凝土结构管渠施工应符合本规范第6.2节的规定和设计要求,并应符合下列规定:1 现浇拱形管渠模板支设时,拱架结构应简单、坚固,便于制作与拆装;倒拱形渠底流水面部分,应使内模略低于设计高程,且拱面模板应圆整光滑;采用木模时,拱面中心宜设八字缝板一块;2 现浇圆形钢筋混凝土结构管渠模板的支设应符合下列规定:1)浇筑混凝土基础时,应埋设固定钢筋骨架的架立筋、内模箍筋地锚和外模地锚;2)基础混凝土抗压强度达到1.2MPa后,应固定钢筋骨架及管内模;3)管内模尺寸不应小于设计要求,并便于拆装;采用木模时,应在圆内对称位置各设八字缝板一块;浇筑前模板应洒水湿透;4)管外模直面部分和堵头板应一次支设,直面部分应设八字缝板,弧面部分宜在浇筑过程中支设;外模采用框架固定时,应防止整体结构的纵向扭曲变形;3 管渠变形缝内止水带的设置位置应准确牢固,与变形缝垂直,与墙体中心对正;架立止水带的钢筋应预先制作成型;4 管渠钢筋骨架的安设与定位,应在基础混凝土抗压强度达到规定要求后,将钢筋骨架放在预埋架立筋的预定位置,使其平直后与架立筋焊牢;钢筋骨架的段与段之间的纵向钢筋应相间地焊接与绑扎;5 管渠基础下的砂垫层铺平拍实后,混凝土浇筑前不得踩踏;浇筑管渠基础垫层时,基础面高程宜低于设计基础面,其允许偏差应为0~-10mm;6 现浇钢筋混凝土矩形管渠的施工缝应留在墙底腋角以上不小于200mm处;侧墙与顶板宜连续浇筑,浇筑至墙顶时,宜间歇1~1.5h后,再继续浇筑顶板;7 混凝土浇筑不得发生离析现象,管渠两侧应对称浇筑,高差不宜大于300mm;8 圆形管渠两侧混凝土的浇筑,浇筑到管径之半的高度时,宜间歇1~1.5h后再继续浇筑;9 现浇钢筋混凝土结构管渠,除应遵守常规的混凝土浇筑与养护要求外,并应符合下列规定:1)管渠顶及拱顶混凝土的坍落度宜降低10~20mm;2)宜选用碎石作混凝土的粗骨料;3)增加二次振捣,顶部厚度不得小于设计值;4)初凝后抹平压光;10 浇筑管渠混凝土时,应经常观察模板、支架、钢筋骨架预埋件和预留孔洞,有变形或位移时,应立即修整。
6.7.8 装配式钢筋混凝土结构管渠施工应符合本规范第6.3节的规定和设计要求,并应符合下列规定:1 装配式管渠的基础与墙体等上部构件采用杯口连接时,杯口宜与基础一次连续浇筑;采用分期浇筑时,其基础面应凿毛并清洗干净后方可浇筑;2 矩形或拱形构件的安装应符合下列规定:1)基础杯口混凝土达到设计强度的75%以后,方可进行安装;2)安装前应将与构件连接部位凿毛清洗,杯底应铺设水泥砂浆;3)安装时应使构件稳固、接缝间隙符合设计的要求;3 管渠侧墙两板间的竖向接缝应采用设计要求的材料填实;设计无要求时,宜采用细石混凝土或水泥砂浆填实;4 后浇杯口混凝土的浇筑,宜在墙体构件间接缝填筑完毕,杯口钢筋绑扎后进行;后浇杯口混凝土达到设计抗压强度的75%以后方可回填土;5 矩形或拱形构件进行装配施工时,其水平接缝应铺满水泥砂浆,使接缝咬合,且安装后应及时勾抹压实接缝内外面;6 矩形或拱形构件的填缝或勾缝应先做外缝,后做内缝,并适时洒水养护;内部填缝或勾缝,应在管渠外部回填土后进行;7 管渠顶板的安装应轻放,不得振裂接缝,并应使顶板缝与墙板缝错开。
6.7.9 管渠的功能性试验应符合现行国家标准《给水排水管道工程施工及验收规范》GB 50268的相关规定。压力管渠水压试验时,其允许渗水量应符合式(6.7.9—1)的规定:

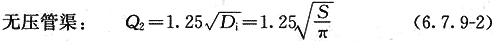
无压管渠闭水试验时,其允许渗水量应符合式(6.7.9—2)的规定:

式中 Q1——压力管渠允许渗水量[L/(min·km)];Q2——无压管渠允许渗水量[m3/(24h·km)]Dj——管道内径(mm);S——管渠的湿周周长(mm)。
6.8 质量验收标准
6.8.1 模板应符合下列规定:主控项目1 模板及其支架应满足浇筑混凝土时的承载能力、刚度和稳定性要求,且应安装牢固;检查方法:观察;检查模板支架设计、验算。2 各部位的模板安装位置正确、拼缝紧密不漏浆;对拉螺栓、垫块等安装稳固;模板上的预埋件、预留孔洞不得遗漏,且安装牢固;检查方法:观察;检查模板设计、施工方案。3 模板清洁、脱模剂涂刷均匀,钢筋和混凝土接茬处无污渍;检查方法:观察。一般项目4 浇筑混凝土前,模板内的杂物应清理干净;钢模板板面不应有明显锈渍;检查方法:观察。5 对清水混凝土工程及装饰混凝工程,应使用能达到设计效果的模板;检查方法:观察。6 整体现浇混凝土模板安装允许偏差应符合表6.8.1的规定。

注:1 L为混凝土底板和池体的长、宽或直径,H为池壁、柱的高度;2 止水带指设计为防止变形缝渗水或漏水而设置的阻水装置,不包括施工单位为防止混凝土施工缝漏水而加的止水板;3 仓指构筑物中由变形缝,施工缝分隔而成的一次浇筑成型的结构单元。
6.8.2 钢筋应符合下列规定:主控项目1 进场钢筋的质量保证资料应齐全,每批的出厂质量合格证明书及各项性能检验报告应符合国家有关标准规定和设计要求;受力钢筋的品种、级别、规格和数量必须符合设计要求;钢筋的力学性能检验、化学成分检验等应符合现行国家标准《混凝土结构工程施工质量验收规范》GB 50204的相关规定;检查方法:观察;检查每批的产品出厂质量合格证明、性能检验报告及有关的复验报告。2 钢筋加工时,受力钢筋的弯钩和弯折、箍筋的末端弯钩形式等应符合现行国家标准《混凝土结构工程施工质量验收规范》GB 50204的相关规定和设计要求;检查方法:观察;检查施工记录,用钢尺量测。3 纵向受力钢筋的连接方式应符合设计要求;受力钢筋采用机械连接接头或焊接接头时,其接头应按现行国家标准《混凝土结构工程施工质量验收规范》GB 50204的相关规定进行力学性能检验;检查方法:观察;检查施工记录,检查连接材料的产品质量合格证及接头力学性能检验报告。4 同一连接区段内的受力钢筋,采用机械连接或焊接接头时,接头面积百分率应符合现行国家标准《混凝土结构工程施工质量验收规范》GB 50204的相关规定;采用绑扎接头时,接头面积百分率及最小搭接长度应符合本规范第6.2.4条第3款的规定;检查方法:观察;检查施工记录;用钢尺量测(检查数量:底板、侧墙、顶板以及柱、梁、独立基础等部位抽测均不少于20%)。一般项目5 钢筋应平直、无损伤,表面不得有裂纹、油污、颗粒状或片状老锈;检查方法:观察;检查施工记录。6 成型的网片或骨架应稳定牢固,不得有滑动、折断、位移、伸出等情况;绑扎接头应扎紧并向内折;检查方法:观察。7 钢筋安装就位后应稳固,无变形、走动、松散等现象;保护层符合要求;检查方法:观察。8 钢筋加工的形状、尺寸应符合设计要求,其偏差应符合表6.8.2—1的规定;

6.8.3 现浇混凝土应符合下列规定:主控项目1 现浇混凝土所用的水泥、细骨料、粗骨料、外加剂等原材料的产品质量保证资料应齐全,每批的出厂质量合格证明书及各项性能检验报告应符合本规范第6.2.6条的规定和设计要求;检查方法:观察;检查每批的产品出厂质量合格证明、性能检验报告及有关的复验报告。2 混凝土配合比应满足施工和设计要求;检查方法:观察;检查混凝土配合比设计,检查试配混凝土的强度、抗渗、抗冻等试验报告;对于商品混凝土还应检查出厂质量合格证明等。3 结构混凝土的强度、抗渗和抗冻性能应符合设计要求;其试块的留置及质量评定应符合本规范第6.2.8条的相关规定;检查方法:检查施工记录;检查混凝土试块的试验报告、混凝土质量评定统计报告。4 混凝土结构应外光内实;施工缝后浇带部位应表面密实,无冷缝、蜂窝、露筋现象,否则应修理补强;检查方法:观察;检查施工缝处理方案,检查技术处理资料。5 拆模时的混凝土结构强度应符合本规范第6.2.3条的相关规定和设计要求;检查方法:观察;检查同条件养护下的混凝土强度试块报告。一般项目6 浇筑现场的混凝土坍落度或维勃稠度符合配合比设计要求;检查方法:观察;检查混凝土坍落度或维勃稠度检验记录,检查施工配合比;检查现场搅拌混凝土原材料的称量记录。7 模板在浇筑中无变位、变形、漏浆等现象,拆模后无粘模、缺棱掉角及损伤表面等现象;检查方法:观察;检查施工记录。8 施工缝后浇带位置应符合设计要求,表面平顺,无明显漏浆、错台、色差等现象;检查方法:观察;检查施工记录。9 混凝土表面无明显收缩裂缝;检查方法:观察;检查混凝土记录。10 对拉螺栓孔的填封应密实、平整,无收缩现象;检查方法:观察;检查填封材料的配合比。
6.8.4 装配式混凝土结构的构件安装应符合下列规定:主控项目1 装配式混凝土所用的原材料、预制构件等的产品质量保证资料应齐全,每批的出厂质量合格证明书及各项性能检验报告应符合国家有关标准规定和设计要求;检查方法:观察;检查每批的原材料、构件出厂质量合格证明、性能检验报告及有关的复验报告;对于现场制作的混凝土构件应按本规范第6.8.3条的规定执行。2 预制构件上的预埋件、插筋、预留孔洞的规格、位置和数量应符合设计要求;检查方法:观察。3 预制构件的外观质量不应有严重质量缺陷,且不应有影响结构性能和安装、使用功能的尺寸偏差;检查方法:观察;检查技术处理方案、资料;用钢尺量测。4 预制构件与结构之间、预制构件之间的连接应符合设计要求;构件安装应位置准确,垂直、稳固;相邻构件湿接缝及杯口、杯槽填充部位混凝土应密实,无漏筋、孔洞、夹渣、疏松现象;钢筋机械或焊接接头连接可靠;检查方法:观察;检查预留钢筋机械或焊接接头连接的力学性能检验报告,检查混凝土强度试块试验报告。5 安装后的构筑物尺寸、表面平整度应满足设计和设备安装及运行的要求;检查方法:观察;检查安装记录;用钢尺等量测。一般项目6 预制构件的混凝土表面应平整、洁净,边角整齐;外观质量不宜有一般缺陷;检查方法:观察;检查技术处理方案、资料。7 构件安装时,应将杯口、杯槽内及构件连接面的杂物、污物清理干净,界面处理满足安装要求;检查方法:观察。8 现浇混凝土杯口、杯槽内表面应平整、密实;预制构件安装不应出现扭曲、损坏、明显错台等现象;检查方法:观察。9 预制构件制作的允许偏差应符合表6.8.4—1的规定;


11 预制混凝土构件安装允许偏差应符合表6.8.4—3的规定。

注:H为壁板及柱的全高。
6.8.5 圆形构筑物缠丝张拉预应力混凝土应符合下列规定:主控项目1 预应力筋和预应力锚具、夹具、连接器以及保护层所用水泥、砂、外加剂等的产品质量保证资料应齐全,每批的出厂质量合格证明书及各项性能检验报告应符合本规范第6.4.2条的相关规定和设计要求;检查方法:观察;检查每批的原材料出厂质量合格证明、性能检验报告及有关的复验报告。2 预应力筋的品种、级别、规格、数量、下料、墩头加工以及环向预应力筋和锚具槽的布置、锚固位置必须符合设计要求;检查方法:观察。3 缠丝时,构件及拼接处的混凝土强度应符合本规范第6.4.8条的规定;检查方法:观察;检查混凝土强度试块试验报告。4 缠丝应力应符合设计要求;缠丝过程中预应力筋应无断裂,发生断裂时应将钢丝接好,并在断裂位置左右相邻锚固槽各增加一个锚具;检查方法:观察;检查张拉记录、应力测量记录,技术处理资料。5 保护层砂浆的配合比计量准确,其强度、厚度应符合设计要求,并应与预应力筋(钢丝)粘结紧密,无漏喷、脱落现象;检查方法:观察;检查水泥砂浆强度试块试验报告,检查喷浆施工记录。一般项目6 预应力筋展开后应平顺,不得有弯折,表面不应有裂纹、刺、机械损伤、氧化铁皮和油污;检查方法:观察。7 预应力锚具、夹具、连接器等的表面应无污物、锈蚀、机械损伤和裂纹;检查方法:观察。8 缠丝顺序应符合设计和施工方案要求;各圈预应力筋缠绕与设计位置的偏差不得大于15mm;检查方法:观察;检查张拉记录、应力测量记录;每圈预应力筋的位置用钢尺量,并不少于1点。9 保护层表面应密实、平整,无空鼓、开裂等缺陷现象;检查方法:观察;检查技术处理方案、资料。10 预应力筋保护层允许偏差应符合表6.8.5规定。

6.8.6 后张法预应力混凝土应符合下列规定:主控项目1 预应力筋和预应力锚具、夹具、连接器以及有粘结预应力筋孔道灌浆所用水泥、砂、外加剂、波纹管等的产品质量保证资料应齐全,每批的出厂质量合格证明书及各项性能检验报告应符合本规范第6.4.2条的相关规定和设计要求;检查方法:观察;检查每批的原材料出厂质量合格证明、性能检验报告及有关的复验报告。2 预应力筋的品种、级别、规格、数量下料加工必须符合设计要求;检查方法:观察。3 张拉时混凝土强度应符合本规范第6.4.8条的规定;检查方法:观察;检查混凝土试块的试验报告。4 后张法张拉应力和伸长值,断裂或滑脱数量、内缩量等应符合本规范6.4.13条第4、5、6款的规定和设计要求;检查方法:观察;检查张拉记录。5 有粘结预应力筋孔道灌浆应饱满、密实;灌浆水泥砂浆强度应符合设计要求;检查方法:观察;检查水泥砂浆试块的试验报告。一般项目6 有粘结预应力筋应平顺,不得有弯折,表面不应有裂纹、刺、机械损伤、氧化铁皮和油污;无粘结预应力筋护套应光滑,无裂缝和明显褶皱;检查方法:观察。7 预应力锚具、夹具、连接器等的表面应无污物、锈蚀、机械损伤和裂纹;波纹管外观应符合本规范第6.4.5条第2款的规定;检查方法:观察。8 后张法有粘结预应力筋预留孔道的规格、数量、位置和形状应符合设计要求,并应符合下列规定:1)预留孔道的位置应牢固,浇筑混凝土时不应出现位移和变形;2)孔道应平顺,端部的预埋锚垫板应垂直于孔道中心线;3)成孔用管道应封闭良好,接头应严密且不得漏浆;4)灌浆孔的间距:预埋波纹管不宜大于30m;抽芯成型孔道不宜大于12m:5)曲线孔道的曲线波峰部位应设排气(泌水)管,必要时可在最低点设置排水孔;6)灌浆孔及泌水管的孔径应能保证浆液畅通;检查方法:观察;用钢尺量。9 无粘结预应力筋的铺设应符合下列规定:1)无粘结预应力筋的定位牢固,浇筑混凝土时不应出现移位和变形;2)端部的预埋锚垫板应垂直于预应力筋;3)内埋式固定端垫板不应重叠,锚具与垫板应贴紧;4)无粘结预应力筋成束布置时应能保证混凝土密实并能裹住预应力筋;5)无粘结预应力筋的护套应完整,局部破损处应采用防水胶带缠绕紧密;检查方法:观察。10 预应力筋张拉后与设计位置的偏差不得大于5mm,且不得大于池壁截面短边边长的4%;检查方法:每工作班检查3%、且不少于3束预应力筋,用钢尺量。11 封锚的保护层厚度、外露预应力筋的保护层厚度、封锚混凝土强度应符合本规范第6.4.13条第10款的规定;检查方法:观察;检查封锚混凝土试块的试验报告,检查5%、且不少于5处;预应力筋保护层厚度,用钢尺量。
6.8.7 混凝土结构水处理构筑物应符合下列规定:主控项目1 水处理构筑物结构类型、结构尺寸以及预埋件、预留孔洞、止水带等规格、尺寸应符合设计要求;检查方法:观察;检查施工记录、测量记录、隐蔽验收记录。2 混凝土强度符合设计要求;混凝土抗渗、抗冻性能符合设计要求;检查方法:检查配合比报告;检查混凝土抗压、抗渗、抗冻试块试验报告。3 混凝土结构外观无严重质量缺陷;检查方法:观察,检查技术处理方案、资料。4 构筑物外壁不得渗水;检查方法:观察,检查技术处理方案、资料。5 构筑物各部位以及预埋件、预留孔洞、止水带等的尺寸、位置、高程、线形等的偏差,不得影响结构性能和水处理工艺平面布置、设备安装、水力条件;检查方法:观察;检查施工记录、测量放样记录。一般项目6 混凝土结构外观不宜有一般质量缺陷;检查方法:观察;检查技术处理方案、资料。7 结构无明显湿渍现象;检查方法:观察。8 结构表面应光洁和顺、线形流畅;检查方法:观察。9 混凝土结构水处理构筑物允许偏差应符合表6.8.7的规定。

注:1 H为池壁全高,L为池体的长、宽或直径;2 检查轴线、中心线位置时,应沿纵、横两个方向测量,并取其中的较大值;3 水处理构筑物所安装的设备有严于本条规定的特殊要求时,应按特殊要求执行,但在水处理构筑物施工前,设计单位必须给予明确。
6.8.8 砖石砌体结构水处理构筑物应符合下列规定:主控项目1 砖、石以及砌筑、抹面用的水泥、砂等材料的产品质量保证资料应齐全,每批的出厂质量合格证明书及各项性能检验报告应符合本规范第6.5.1条的相关规定和设计要求;检查方法:观察;检查产品质量合格证、出厂检验报告和及有关的进场复验报告。2 砌筑、抹面砂浆配合比应满足施工和本规范第6.5.1条的相关规定;检查方法:观察;检查砌筑砂浆配合比单及记录;对于商品砌筑砂浆还应检查出厂质量合格证明等。3 砌筑、抹面砂浆的强度应符合设计要求;其试块的留置及质量评定应符合本规范第6.5.2、6.5.3条的相关规定;检查方法:检查施工记录;检查砌筑砂浆试块的试验报告。4 砌体结构各部位的构造形式以及预埋件、预留孔洞、变形缝位置、构造等应符合设计要求;检查方法:观察;检查施工记录、测量放样记录。5 砌筑应垂直稳固、位置正确;灰缝必须饱满、密实、完整,无透缝、通缝、开裂等现象;砖砌抹面时,砂浆与基层及各层间应粘结紧密牢固,不得有空鼓及裂纹等现象;检查方法:观察;检查施工记录,检查技术处理资料。一般项目6 砌筑前,砖、石表面应洁净,并充分湿润;检查方法:观察。7 砌筑砂浆应灰缝均匀一致、横平竖直,灰缝宽度的允许偏差为±2mm;检查方法:观察;每20m用钢尺量10皮砖、石砌体进行折算。8 抹面时,抹面接茬应平整,阴阳角清晰顺直;检查方法:观察。9 勾缝应密实,线形平整、深度一致;检查方法:观察。10 砖砌体水处理构筑物施工允许偏差应符合表6.8.8—1的规定;

注:1 L为池体长、宽或直径;2 H为池壁、隔墙或柱的高度。
11 石砌体水处理构筑物施工允许偏差应符合表6.8.8—2的规定。

注:1 L为池体长、宽或直径;2 H为池壁高度。
6.8.9 构筑物变形缝应符合下列规定:主控项目1 构筑物变形缝的止水带、柔性密封材料等的产品质量保证资料应齐全,每批的出厂质量合格证明书及各项性能检验报告应符合本规范第6.1.10条的相关规定和设计要求;检查方法:观察;检查产品质量合格证、出厂检验报告和及有关的进场复验报告。2 止水带位置应符合设计要求;安装固定稳固,无孔洞、撕裂、扭曲、褶皱等现象;检查方法:观察,检查施工记录。3 先行施工一侧的变形缝结构端面应平整、垂直,混凝土或砌筑砂浆应密实,止水带与结构咬合紧密;端面混凝土外观严禁出现严重质量缺陷,且无明显一般质量缺陷;检查方法:观察。4 变形缝应贯通,缝宽均匀一致;柔性密封材料嵌填应完整、饱满、密实;检查方法:观察。一般项目5 变形缝结构端面部位施工完成后,止水带应完整,线形直顺,无损坏、走动、褶皱等现象;检查方法:观察。6 变形缝内的填缝板应完整,无脱落、缺损现象;检查方法:观察。7 柔性密封材料嵌填前缝内应清洁杂物、污物;嵌填应表面子整,其深度应符合设计要求,并与两侧端面粘结紧密;检查方法:观察。8 构筑物变形缝施工允许偏差应符合表6.8.9的规定。

注:H为结构全高(mm)。
6.8.10 塘体结构应符合下列规定:1 基槽应符合本规范第4.7.2、4.7.4条等的规定,且基槽开挖允许偏差应符合表6.8.10的规定;

2 塘体结构质量应符合本规范第5.7.10条等的规定;对于钢筋混凝土工程,其模板、钢筋、混凝土、混凝土结构构筑物还应分别符合本规范第6.8.1、6.8.2、6.8.3和6.8.7条的规定。
6.8.11 现浇钢筋混凝土、装配式钢筋混凝土管渠应符合下列规定:1 模板、钢筋、混凝土、构件安装、变形缝应分别符合本规范第6.8.1~6.8.4条和6.8.9条的规定;2 混凝土结构管渠应符合本规范第6.8.7条的规定,且其允许偏差应符合表6.8.11的规定。


注:渠底高程在竣工后的贯通测量允许偏差可按±20mm执行。
6.8.12 砖石砌体管渠工程的变形缝、砖石砌体结构管渠质量验收应分别符合本规范第6.8.8、6.8.9条的规定,且砖石砌体结构管渠的允许偏差应符合表6.8.12的规定。

6.8.13 水处理工艺的辅助构筑物工程中,涉及钢筋混凝土结构的模板、钢筋、混凝土、构件安装等的质量验收应分别符合本规范第6.8.1—6.8.4条的规定,涉及砖石砌体结构的质量验收应符合本规范第6.8.8条的规定。工艺辅助构筑物的质量验收应符合下列规定:主控项目1 有关工程材料、型材等的产品质量保证资料应齐全,并符合国家有关标准的规定和设计要求;检查方法:观察;检查产品质量合格证、出厂检验报告及有关的进场复验报告。2 位置、高程、结构和工艺线形尺寸、数量等应符合设计要求,满足运行功能;检查方法:观察;检查施工记录、测量放样记录。3 混凝土、水泥砂浆抹面等光洁密实、线形和顺,无阻水、滞水现象;检查方法:观察。4 堰板、槽板、孔板等安装应平整、牢固,安装位置及高程应准确,接缝应严密;堰顶、穿孔槽、孔眼的底缘在同一水平面上;检查方法:观察;检查安装记录;用钢尺、水准仪等量测检查。一般项目5 工艺辅助构筑物施工允许偏差应符合表6.8.13的规定。


6.8.14 水处理的细部结构工程中涉及模板、钢筋、混凝土、构件安装、砌筑等质量验收应分别符合本规范第6.8.1~6.8.4条和6.8.8条的规定;混凝土设备基础、闸槽等的质量应符合本规范第7.4.3条的规定;梯道、平台、栏杆、盖板、走道板、设备行走的钢轨轨道等细部结构应符合下列规定:主控项目1 原材料、成品构件、配件等的产品质量保证资料应齐全,并符合国家有关标准的规定和设计要求;检查方法:观察;检查产品质量合格证、出厂检验报告及有关的进场复验报告。2 位置和高程、线形尺寸、数量等应符合设计要求,安装应稳固可靠;检查方法:观察;检查施工记录、测量放样记录。3 固定构件与结构预埋件应连接牢固;活动构件安装平稳可靠、尺寸匹配,无走动、翘动等现象;混凝土结构外观质量无严重缺陷;检查方法:观察;检查施工记录和有关的检验记录。4 安全设施应符合国家有关安全生产的规定;检查方法:观察;检查施工安全技术方案。一般项目5 混凝土结构外观质量不宜有一般缺陷,钢制构件防腐完整,活动走道板无变形、松动等现象;检查方法:观察。6 梯道、平台、栏杆、盖板(走道板)安装的允许偏差应符合表6.8.14—1的规定;

7 构筑物上行走的清污设备轨道铺设的允许偏差应符合表6.8.14—2的规定。

注:1 轴线位置:对平行两直线轨道,应为两平行轨道之间的中线;对圆形轨道,为其圆心位置;2 平行两直线轨道接头的位置应错开。其错开距离不应等于行走设备前后轮的轮距。
6.8.15 水处理构筑物的水泥砂浆防水层的质量验收应符合现行国家标准《地下防水工程质量验收规范》GB 50208的相关规定。
6.8.16 水处理构筑物的防腐层质量验收应按现行国家标准《建筑防腐蚀工程施工及验收规范》GB 50212的相关规定执行。
6.8.17 水处理构筑物的钢结构工程,应按现行国家标准《钢结构工程施工质量验收规范》GB 50205的相关规定执行。
7 泵 房
7.1 一般规定
7.1.1 本章适用于给排水工程中的固定式取水(排放)、输送、提升、增压泵房结构工程施工与验收。小型泵房可参照执行。
7.1.2 泵房施工前准备工作应符合下列规定:1 施工前应对其施工影响范围内的各类建(构)筑物、河岸和管线的基础等情况进行实地详勘调查,根据安全需要采取相应保护措施;2 复核泵站内泵房以及各单体构筑物的位置坐标、控制点和水准点;泵房及进出水流道、泵房与泵站内进出水构筑物、其他单体构筑物连接的管道或构筑物,其位置、走向、坡度和标高应符合设计要求;3 分建式泵站施工应与泵站内进出水构筑物、其他单体构筑物、连接管道兼顾,合理安排单体构筑物的施工顺序;合建式泵站,其泵房施工应包括进出水构筑物等;4 岸边泵房宜在枯水期施工,并应在汛前施工至安全部位;需度汛时,对已建部分应有防护措施。
7.1.3 泵房施工应符合下列规定:1 土石方与地基基础工程应按本规范第4章的相关规定执行;2 泵房地下部分的混凝土及砌筑结构工程应按本规范第6章的有关规定执行;3 泵房地下部分采用沉井法施工时,应符合本规范第7.3节的规定;水中泵房沉井采用浮运法施工时可按本规范第5.3节的相关规定执行;4 泵房地面建筑部分的结构工程应符合现行国家标准《建筑地面工程施工质量验收规范》GB 50209及其相关专业规范的规定;5 泵站内与泵房有关的进出水构筑物、其他单体构筑物以及管渠等工程的施工,应按本规范的相关章节规定执行;6 预制成品管铺设的管道工程应符合现行国家标准《给水排水管道工程施工及验收规范》GB 50268的相关规定。
7.1.4 应采取措施控制泵房与进、出水构筑物和管道之间的不均匀沉降,满足设计要求。
7.1.5 泵房的主体结构、内部装饰工程施工完毕,现场清理干净,且经检验满足设备安装要求后,方可进行设备安装。
7.1.6 泵房施工应制定高空、起重作业及基坑、模板工程等安全技术措施。
7.2 泵房结构
7.2.1 结构施工前应会同设备安装单位,对相关的设备锚栓或锚板的预埋位置、预留孔洞、预埋件等进行检查核对。
7.2.2 底板混凝土施工应符合下列规定:1 施工前,地基基础验收合格;2 设计无要求时,垫层厚度不应小于100mm,平面尺寸宜大于底板,混凝土强度等级不应低于C10;3 混凝土应连续浇筑,不宜分层浇筑或浇筑面较大时,可采用多层阶梯推进法浇筑,其上下两层前后距离不宜小于1.5m,同层的接头部位应充分振捣,不得漏振;4 在斜面基底上浇筑混凝土时,应从低处开始,逐层升高,并采取措施保持水平分层,防止混凝土向低处流动;5 混凝土表面应抹平、压实,防止出现浮层和干缩裂缝。
7.2.3 混凝土结构的高、大模板以及流道、渐变段等外形复杂的模板架设与支撑、脚手架搭设、拆除等,应编制专项施工方案并符合设计要求。模板安装中不得遗漏相关的预埋件和预留孔洞,且应安装牢固、位置准确。
7.2.4 与水接触的混凝土结构施工应符合下列规定:1 应采取技术措施,提高混凝土质量,避免混凝土缺陷的产生;2 混凝土原材料、配合比、混凝土浇筑及养护等应符合本规范第6.2节的规定:3 应按设计要求设置施工缝,并宜少设施工缝;4 混凝土浇筑应从低处开始,按顺序逐层进行,入模混凝土上升高度应一致平衡;5 混凝土浇筑完毕应及时养护。
7.2.5 钢筋混凝土进、出水流道施工还应符合下列规定:1 流道模板安装前宜进行预拼装检验;流道的模板、钢筋安装与绑扎应作统一安排,互相协调;2 曲面、倾斜面层模板底部混凝土应振捣充分,模板面积较大时,应在适当位置开设便于进料和振捣的窗口;3 变径流道的线形、断面尺寸应按设计要求施工。
7.2.6 平台、楼层、梁、柱、墙等混凝土结构施工缝的设置应符合下列规定:1 墙、柱底端的施工缝宜设在底板或基础已有混凝土顶而,其上端施工缝宜设在楼板或大梁的下面;与其嵌固连接的楼层板、梁或附墙楼梯等需要分期浇筑时,其施工缝的位置及插筋、嵌槽应会同设计单位商定;2 与板连成整体的大断面梁,宜整体浇筑;如需分期浇筑,其施工缝宜设在板底面以下20~30mm处,板下有梁托时,应设在梁托下面;3 有主、次梁的楼板,施工缝应设在次梁跨中1/3范围内;4 结构复杂的施工缝位置,应按设计要求留置。
7.2.7 水泵与电机等设备基础施工应符合下列规定:1 钢筋混凝土基础工程应符合本规范第6章的相关规定和设计要求;2 水泵和电动机的基础与底板混凝土不同时浇筑时,其接触面除应按施工缝处理外,底板应按设计要求预埋钢筋。
7.2.8 水泵与电机安装进行基座二次混凝土及地脚螺栓预留孔灌浆时。应遵守下列规定:1 浇筑二次混凝土前,应对一次混凝土表面凿毛清理,刷洗干净;2 地脚螺栓埋入混凝土部分的油污应清除干净;灌浆前应清除灌浆部位全部杂物;3 地脚螺栓的弯钩底端不应接触孔底,外缘距离孔壁不应小于15mm;振捣密实,不得撞击地脚螺栓;4 混凝土或砂浆配比应通过试验确定;浇筑厚度大于或等于40mm时,宜采用细石混凝土灌注;小于40mm时,宜采用水泥砂浆灌注;其强度等级均应比基座混凝土设计强度等级提高一级;5 混凝土或砂浆达到设计强度的75%以后,方可将螺栓对称拧紧;6 地脚螺栓预埋采用植筋时,应通过试验确定。
7.2.9 平板闸的闸槽安装位置应准确。闸槽定位及埋件固定检查合格后,应及时浇筑混凝土。
7.2.10 采用转动螺旋泵成型螺旋泵槽时,应将槽面压实抹光。槽面与螺旋叶片外缘间的空隙应均匀一致,并不得小于5mm。
7.2.11 泵房进、出水管道穿过墙体时,穿墙管部位应设置防水套管。套管与管道的间隙,应待泵房沉降稳定后再按设计要求进行填封。
7.2.12 在施工的不同阶段,应经常对泵房以及泵站内其他各单体构筑物进行沉降、位移监测。
7.3 沉 井
7.3.1 泵房沉井施工方案应包括以下主要内容:1 施工平面布置图及剖面(包括地质剖面)图;2 采用分节制作或一次制作,分节下沉或一次下沉的措施;3 沉井制作的地基处理要求及施工方法;4 刃脚的承垫及抽除的方案设计;5 沉井制作的模板设计;6 沉井制作的混凝土施工方案;7 分阶段计算下沉系数,制定减阻、加荷、防止突沉和超沉措施;8 排水下沉或不排水下沉的措施;9 沉井下沉遇到障碍物的处理措施;10 沉井下沉中的纠偏、控制措施;11 挖土、出土、运输、堆土或泥浆处理的方法及其设备的选用;12 封底方法及质量控制的措施;13 施工安全措施。
7.3.2 沉井施工应有详细的工程地质及水文地质资料和剖面图,并查勘沉井周围有无地下障碍物或其他建(构)筑物、管线等情况;地质勘探钻孔深度应根据施工需要确定,但不得小于沉井刃脚设计高程以下5m。
7.3.3 沉井制作前应做好下列准备工作:1 按施工方案要求,进行施工平面布置,设定沉井中心桩,轴线控制桩,基坑开挖深度及边坡;2 沉井施工影响附近建(构)筑物、管线或河岸设施时,应采取控制措施,并应进行沉降和位移监测,测点应设在不受施工干扰和方便测量地方;3 地下水位应控制在沉井基坑以下0.5m,基坑内的水应及时排除;采用沉井筑岛法制作时,岛面标高应比施工期最高水位高出0.5m以上;4 基坑开挖应分层有序进行,保持平整和疏干状态。
7.3.4 制作沉井的地基应具有足够的承载力,地基承载力不能满足沉井制作阶段的荷载时。除对地基进行加固等措施外,刃脚的垫层可采用砂垫层上铺垫木或素混凝土,且应符合下列规定:1 垫层的结构厚度和宽度应根据土体地基承载力、沉井下沉结构高度和结构形式,经计算确定;素混凝土垫层的厚度还应便于沉井下沉前凿除;2 砂垫层分布在刃脚中心线的两侧范围,应考虑方便抽除垫木;砂垫层宜采用中粗砂,并应分层铺设、分层夯实;3 垫木铺设应使刃脚底面在同一水平面上,并符合设计起沉标高的要求;平面布置要均匀对称,每根垫木的长度中心应与刃脚底面中心线重合,定位垫木的布置应使沉井有对称的着力点;4 采用素混凝土垫层时,其强度等级应符合设计要求,表面平整。
7.3.5 沉井刃脚采用砖模时,其底模和斜面部分可采用砂浆、砖砌筑;每隔适当距离砌成垂直缝。砖模表面可采用水泥砂浆抹面,并应涂一层隔离剂。
7.3.6 沉井结构的钢筋、模板、混凝土工程施工应符合本规范第6章的有关规定和设计要求;混凝土应对称、均匀、水平连续分层浇筑,并应防止沉井偏斜。
7.3.7 分节制作沉井时还应符合下列规定:1 每节制作高度应符合施工方案要求,且第一节制作高度必须高于刃脚部分;井内设有底梁或支撑梁时应与刃脚部分整体浇筑捣实;2 设计无要求时,混凝土强度应达到设计强度的75%后,方可拆除模板或浇筑后节混凝土;3 混凝土施工缝处理应采用凹凸缝或设置钢板止水带,施工缝应凿毛并清理干净;内外模板采用对拉螺栓固定时,其对拉螺栓的中间应设置防渗止水片;钢筋密集部位和预留孔底部应辅以人工振捣,保证结构密实;4 沉井每次接高时各部位的轴线位置应一致、重合,及时做好沉降和位移监测;必要时应对刃脚地基承载力进行验算,并采取相应措施确保地基及结构的稳定;5 分节制作、分次下沉的沉井,前次下沉后进行后续接高施工应符合下列规定:1)应验算接高后稳定系数等,并应及时检查沉井的沉降变化情况,严禁在接高施工过程中沉井发生倾斜和突然下沉;2)后续各节的模板不应支撑于地面上,模板底部应距地面不小于1m。
7.3.8 沉井下沉及封底施工必须严格控制,实施信息化施工;各阶段的下沉系数与稳定系数等应符合施工方案的要求,必要时还应进行涌土和流砂的验算。
7.3.9 沉井下沉方式应根据沉井下沉穿过的工程地质和水文地质条件、下沉深度、周围环境等情况进行确定;施工过程中改变下沉方式时,应与设计协商。
7.3.10 沉井下沉前应做下列准备工作:1 将井壁、隔墙、底梁等与封底及底板连接部位凿毛;2 预留孔、洞和预埋管临时封堵,防止渗漏水;3 在沉井井壁上设置下沉观测标尺、中线和垂线;4 采用排水下沉需要降低地下水位时,地下水位降水高度应满足下沉施工要求;5 第一节混凝土强度应达到设计强度,其余各节应达到设计强度的70%;对于分节制作分次下沉的沉井,后续下沉、接高部分混凝土强度应达到设计强度的70%。
7.3.11 凿除混凝土垫层或抽除垫木应符合下列规定:1 凿除或抽除时,沉井混凝土强度应达到设计要求;2 凿除混凝土垫层应分区域按顺序对称、均匀、同步凿除;凿断线应与刃脚底边齐平,定位支撑点最后凿除,不得漏凿;凿除的碎块应及时清除,并及时用砂或砂石回填;3 抽除垫木宜分组、依次、对称、同步进行,每抽出一组,即用砂填实;定位垫木应最后抽除,不得遗漏;4 第一节沉井设有混凝土底梁或支撑梁时,应先将底梁下的垫层除去。
7.3.12 排水下沉施工应符合下列规定:1 应采取措施,确保下沉和降低地下水过程中不危及周围建(构)筑物、道路或地下管线,并保证下沉过程和终沉时的坑底稳定;2 下沉过程中应进行连续排水,保证沉井范围内地层水疏干;3 挖土应分层、均匀、对称进行;对于有底梁或支撑梁的沉井,其相邻格仓高差不宜超过0.5m;开挖顺序应根据地质条件、下沉阶段、下沉情况综合确定,不得超挖;4 用抓斗取土时,沉井内严禁站人;对于有底梁或支撑梁的沉井,严禁人员在底梁下穿越。
7.3.13 不排水下沉施工应符合下列规定:1 沉井内水位应符合施工方案控制水位;下沉有困难时,应根据内外水位、井底开挖几何形状、下沉量及速率、地表沉降等监测资料综合分析调整井内外的水位差;2 机械设备的配备应满足沉井下沉以及水中开挖、出土等要求,运行正常;废弃土方、泥浆应专门处置,不得随意排放;3 水中开挖、出土方式应根据井内水深、周围环境控制要求等因素选择。
7.3.14 沉井下沉控制应符合下列规定:1 下沉应平稳、均衡、缓慢,发生偏斜应通过调整开挖顺序和方式“随挖随纠、动中纠偏”;2 应按施工方案规定的顺序和方式开挖;3 沉井下沉影响范围内的地面四周不得堆放任何东西,车辆来往要减少振动;4 沉井下沉监控测量应符合下列规定:1)下沉时标高、轴线位移每班至少测量一次,每次下沉稳定后应进行高差和中心位移量的计算;2)终沉时,每小时测一次,严格控制超沉,沉井封底前自沉速率应小于10mm/8h;3)如发生异常情况应加密量测;4)大型沉井应进行结构变形和裂缝观测。
7.3.15 沉井采用辅助方法下沉时,应符合下列规定:1 沉井外壁采用阶梯形以减少下沉摩擦阻力时,在井外壁与土体之间应有专人随时用黄砂均匀灌入,四周灌入黄砂的高差不应超过500mm;2 采用触变泥浆套助沉时,应采用自流渗入、管路强制压注补给等方法;触变泥浆的性能应满足施工要求,泥浆补给应及时以保证泥浆液面高度;施工中应采取措施防止泥浆套损坏失效,下沉到位后应进行泥浆置换;3 采用空气幕助沉时,管路和喷气孔、压气设备及系统装置的设置应满足施工要求;开气应自上而下,停气应缓慢减压,压气与挖土应交替作业;确保施工安全。
7.3.16 沉井采用爆破方法开挖下沉时,应符合国家有关爆破安全的规定。
7.3.17 沉井采用干封底时,应符合下列规定:1 在井点降水条件下施工的沉井应继续降水,井稳定保持地下水位距坑底不小于0.5m;在沉井封底前应用大石块将刃脚下垫实;2 封底前应整理好坑底和清除浮泥,对超挖部分应回填砂石至规定标高;3 采用全断面封底时,混凝土垫层应一次性连续浇筑;有底梁或支撑梁分格封底时,应对称逐格浇筑;4 钢筋混凝土底板施工前,井内应无渗漏水,且新、老混凝土接触部位凿毛处理,并清理干净;5 封底前应设置泄水井,底板混凝土强度达到设计强度且满足抗浮要求时,方可封填泄水井、停止降水。
7.3.18 水下封底应符合下列规定:1 基底的浮泥、沉积物和风化岩块等应清除干净;软土地基应铺设碎石或卵石垫层;2 混凝土凿毛部位应洗刷干净;3 浇筑混凝土的导管加工、设置应满足施工要求;4 浇筑前,每根导管应有足够量的混凝土,浇筑时能一次将导管底埋住;5 水下混凝土封底的浇筑顺序,应从低处开始,逐渐向周围扩大;井内有隔墙、底梁或混凝土供应量受到限制时,应分格对称浇筑;6 每根导管的混凝土应连续浇筑,且导管埋入混凝土的深度不宜小于1.0m;各导管间混凝土浇筑面的平均上升速度不应小于0.25m/L;相邻导管间混凝土上升速度宜相近,最终浇筑成的混凝土面应略高于设计高程;7 水下封底混凝土强度达到设计强度,沉井能满足抗浮要求时,方可将井内水抽除,并凿除表面松散混凝土进行钢筋混凝土底板施工。
7.4 质量验收标准
7.4.1 泵房结构、设备基础、沉井以及沉井封底施工中有关混凝土、砌体结构工程、附属构筑物工程的各分项工程质量验收应符合本规范第6.8节的相关规定。
7.4.2 混凝土及砌体结构泵房应符合下列规定:主控项目1 泵房结构类型、结构尺寸、工艺布置平面尺寸及高程等应符合设计要求;检查方法:观察;检查施工记录、测量记录、隐蔽验收记录。2 混凝土、砌筑砂浆抗压强度符合设计要求;混凝土抗渗、抗冻性能应符合设计要求;混凝土试块的留置及质量验收应符合本规范第6.2.8条的相关规定,砌筑砂浆试块的留置及质量验收应符合本规范第6.5.2、6.5.3条的相关规定;检查方法:检查配合比报告;检查混凝土试块抗压、抗渗、抗冻试验报告,检查砌筑砂浆试块抗压试验报告。3 混凝土结构外观无严重质量缺陷;砌体结构砌筑完整、灌浆密实,无裂缝、通缝等现象;检查方法:观察;检查施工技术处理资料。4 井壁、隔墙及底板均不得渗水;电缆沟内不得有湿渍现象;检查方法:观察。5 变径流道应线形和顺、表面光洁,断面尺寸不得小于设计要求;检查方法:观察。一般项目6 混凝土结构外观不宜有一般的质量缺陷;砌体结构砌筑齐整,勾缝平整,缝宽一致;检查方法:观察。7 结构无明显湿渍现象;检查方法:观察。8 导流墙、板、槽、坎及挡水墙、板、墩等表面应光洁和顺、线形流畅;检查方法:观察。9 现浇钢筋混凝土及砖石砌筑泵房允许偏差应符合表7.4.2的相关规定。


7.4.3 泵房设备的混凝土基础及闸槽应符合下列规定:主控项目1 所用工程材料的等级、规格、性能应符合国家有关标准的规定和设计要求;检查方法:检查产品的出厂质量合格证、出厂检验报告和进场复验报告。2 基础、闸槽以及预埋件、预留孔的位置、尺寸应符合设计要求;水泵和电机分装在两个层间时,各层间板的高程允许偏差应为±10mm;上下层间板安装机电和水泵的预留洞中心位置应在同一垂直线上,其相对偏差应为5mm;检查方法:观察;检查施工记录、测量记录;用水准仪、经纬仪量测允许偏差。3 二次混凝土或灌浆材料的强度符合设计要求;采用植筋方式时,其抗拔试验应符合设计要求;检查方法:检查二次混凝土或灌浆材料的试块强度报告,检查试件试验报告。4 混凝土外观无严重质量缺陷;检查方法:观察;检查技术处理资料。一般项目5 混凝土外观不宜有一般质量缺陷;表面平整,外光内实;检查方法:观察;检查技术处理资料。6 允许偏差应符合表7.4.3的相关规定。


7.4.4 沉井制作应符合下列规定:主控项目1 所用工程材料的等级、规格、性能应符合国家有关标准的规定和设计要求;检查方法:检查产品的出厂质量合格证、出厂检验报告和进场复验报告。2 混凝土强度以及抗渗、抗冻性能应符合设计要求;检查方法:检查沉井结构混凝土的抗压、抗渗、抗冻试块的试验报告。3 混凝土外观无严重质量缺陷;检查方法:观察,检查技术处理资料。4 制作过程中沉井无变形、开裂现象;检查方法:观察;检查施工记录、监测记录,检查技术处理资料。一般项目5 混凝土外观不宜有一般质量缺陷;检查方法:观察。6 垫层厚度、宽度,垫木的规格、数量应符台施工方案的要求;检查方法:观察;检查施工记录,检查地基承载力检验记录、砂垫层压实度检验记录、混凝土垫层强度试验报告。7 沉井制作尺寸的允许偏差应符合表7.4.4的规定。
7.4.5 沉井下沉及封底应符合下列规定:主控项目1 封底所用工程材料应符合国家有关标准规定和设计要求;检查方法:检查产品的出厂质量合格证、出厂检验报告和进场复验报告。2 封底混凝土强度以及抗渗、抗冻性能应符合设计要求;检查方法:检查封底混凝土的抗压、抗渗、抗冻试块的试验报告。

3 封底前坑底标高应符合设计要求;封底后混凝土底板厚度不得小于设计要求;检查方法:检查沉井下沉记录、终沉后的沉降监测记录;用水准仪、钢尺或测绳量测坑底和混凝土底板顶面高程。4 下沉过程及封底时沉井无变形、倾斜、开裂现象;沉井结构无线流现象,底板无渗水现象;检查方法:观察;检查沉井下沉记录。

8 调蓄构筑物
8.1 一般规定
8.1.1 本章适用于水塔、水柜、调蓄池(清水池、调节水池、调蓄水池)等给排水调蓄构筑物的施工与验收。
8.1.2 调蓄构筑物工程除按本章规定和设计要求执行外,还应符合下列规定:1 土石方与地基基础应按本规范第4章的相关规定执行;2 水柜、调蓄池等贮水构筑物的混凝土和砌体工程应按本规范第6章的有关规定执行;3 与调蓄构筑物有关的管道、进出水构筑物和砌体工程等应按本规范的相关章节规定执行。
8.1.3 调蓄构筑物施工前应根据设计要求,复核已建的与调蓄构筑物有关的管道、进出水构筑物的位置坐标、控制点和水准点。施工时应采取相应技术措施、合理安排各构筑物的施工顺序,避免新、老管道、构筑物之间出现影响结构安全、运行功能的差异沉降。
8.1.4 调蓄构筑物施工过程中应编制施工方案,并应包括施工过程中施工影响范围内的建(构)筑物、地下管线等监控量测方案。
8.1.5 调蓄构筑物施工应制定高空、起重作业及基坑支护、模板支架工程等的安全技术措施。
8.1.6 施工完毕的贮水调蓄构筑物必须进行满水试验。
8.1.7 贮水调蓄构筑物的满水试验应符合本规范第6.1.3条的规定,并应编制测定沉降变形的方案,在满水试验过程中,应根据方案测定水池的沉降变形量。
8.2 水 塔
8.2.1 水塔的基础施工应遵守下列规定:1 地基处理、工程基础桩应按本规范第4.5节规定和设计要求,进行承载力检测和桩身质量检验;2 “M”形、球形等组合壳体基础应符合下列规定:1)基础下的土基应避免扰动;2)挖土胎时宜按“十”字或“米”字形布置,用特制的靠尺控制,先挖成标准槽,然后向两侧扩挖成型;3)土胎表面的保护层宜采用1:3水泥砂浆抹面,其厚度宜为15~20mm,表面应平整密实;浇筑混凝土时不得破坏;4)混凝土浇筑厚度的允许偏差应为+5、-3mm,混凝土表面应抹压密实;3 基础的预埋螺栓及滑模支承杆,位置应准确,并必须采取防止发生位移的固定措施。
8.2.2 水塔所有预埋件位置应符合设计要求,设置牢固。
8.2.3 现浇钢筋混凝土圆筒、框架结构的塔身施工应符合下列规定:1 模板支架安装应符合下列规定:1)制定模板支架安装、拆卸的专项施工方案;2)采用滑升模板或“三节模板倒模施工法”时,应符合国家有关规范规定,支撑体系安全可靠;3)支模前,应核对圆筒或框架基础预埋竖向钢筋的规格、基面的轴线和高程;4)有控制圆筒或框架垂直度或倾斜度的措施;5)每节模板的高度不宜超过1.5m;2 混凝土浇筑应符合下列规定:1)制定混凝土浇筑工程的专项施工方案;2)浇筑前,模板、钢筋安装质量应检验合格;混凝土配比符合设计要求;3)混凝土输送满足浇筑要求,整个浇筑过程中应经常检查模板支撑体系情况;4)施工缝应凿毛,清理干净;5)混凝土浇筑完成后应进行养护;3 模板支架拆卸应符合国家有关规范的规定。
8.2.4 预制钢筋混凝土圆筒结构的塔身装配应符合下列规定:1 装配前,每节预制塔身的质量验收合格;2 采用上、下节预埋钢环对接时,其圆度应一致;钢环应设临时拉、撑控制点,上下口调平并找正后,与钢筋焊接;采用预留钢筋搭接时,上下节的预留钢筋应错开;3 圆筒或框架塔身上口,应标出控制的中心位置;4 圆筒两端钢环对接的接缝应按设计要求处理;设计无要求时,可采用1:2水泥砂浆抹压平整;5 圆筒或框架塔身采用预留钢筋搭接时,其接缝混凝土强度高于主体混凝土一级,表面应抹压平整。
8.2.5 钢架、钢圆筒结构的塔身施工应符合下列规定:1 制定专项方案,并应有施工安全措施;2 钢构件的制作、预拼装经验收合格后方可安装;现场拼接组装应符合国家相应规范的规定和设计要求;3 安装前,钢架或钢圆筒塔身的主杆上应有中线标志;4 钢构件采用螺栓连接时,应符合下列规定:1)螺栓孔位不正需扩孔时,扩孔部分应不超过2mm;不得用气割进行穿孔或扩孔;2)钢架或钢圆筒构件在交叉处遇有间隙时,应装设相应厚度的垫圈或垫板;3)用螺栓连接构件时,螺杆应与构件面垂直;螺母紧固后。外露丝扣应不少于两扣;剪力的螺栓,其丝扣不得位于连接构件的剪力面内;必须加垫时,每端垫圈不应超过两个;4)螺栓穿入的方向,水平螺栓应由内向外;垂直螺栓应由下向上;5)钢架或钢圆筒塔身的全部螺栓应紧固,水柜等设备、装置全部安装以后还应全部复拧;5 钢构件焊接作业应符合国家有关标准规定和设计要求;6 钢构件安装时,螺栓连接、焊接的检验应按设计要求执行;7 钢结构防腐应按设计要求施工。
8.2.6 预制砌块和砖、石砌体结构的塔身施工还应符合本规范第6.5节的规定和设计要求。
8.2.7 水塔的贮水设施施工应按本规范第8.3节的规定执行。
8.2.8 水塔避雷针的安装应符合下列规定:1 避雷针安装应垂直,位置准确,安装牢固;2 接地体和接地线的安装位置应准确,焊接牢固,并应检验接地体的接地电阻;3 利用塔身钢筋作导线时,应作标志,接头必须焊接牢固,并应检验接地电阻。
8.3 水 柜
8.3.1 水柜在地面预制或装配时应符合下列规定:1 地基处理符合设计要求;2 水柜下环梁设置吊杆的预留孔应与塔顶提升装置的吊杆孔位置一致,并垂直对应:3 水柜满水试验应符合下列规定:1)水柜在地面进行满水试验时,应对地下室底板及内墙采取防渗漏措施;2)保温水柜试验,应在保温层施工前进行;3)充水应分三次进行,每次充水宜为设计水深的1/3,且静置时间不少于3h;4)充水至设计水深后的观测时间:钢丝网水泥水柜不应少于72h;钢筋混凝土水柜不应少于48h;5)水柜及其配管穿越部分,均不得渗水、漏水。
8.3.2 水柜的保温层施工应符合下列规定:1 应在水柜的满水试验合格后进行喷涂或安装;2 采用装配式保温层时,保温罩上的固定装置应与水柜上预埋件位置一致;3 采用空气层保温时,保温罩接缝处的水泥砂浆必须填塞密实。
8.3.3 水柜吊装应制定施工方案,并应包括以下主要内容:1 吊装方式的选定及需用机械的规格、数量;2 吊装架的设计;3 吊装杆件的材质、尺寸、构造及数量;4 保证平稳吊装的措施;5 吊装安全技术措施。
8.3.4 钢丝网水泥及钢筋混凝土倒锥壳水柜的吊装应符合下列规定:1 水柜中环梁及其以下部分结构强度达到规定后方可吊装;2 吊装前应在塔身外壁周围标明水柜底面的坐落位置,并检查吊装架及机电设备等,必须保持完好;3 应先作吊装试验,将水柜提升至离地面0.2m左右,对各部位进行详细检查,确认完全正常后方可正式吊装;4 水柜应平稳吊装;5 吊装水柜下环梁底超过设计高程0.2m;及时垫入支座调平并固定后,使水柜就位与支座焊接牢固。
8.3.5 钢丝网水泥倒锥壳水柜的制作应符合下列规定:1 施工材料应符合下列规定:1)宜采用普通硅酸盐水泥,不宜采用矿渣硅酸盐水泥或火山灰质硅酸盐水泥;2)宜采用细度模量2.0~3.5,最大粒径不宜超过4mm砂,含泥量不得大于2%,云母含量不得大于0.5%;3)钢丝网的规格应符合设计要求,其网格尺寸应均匀,且网面平直。2 模板安装可按本规范有关规定执行,其安装允许偏差应符合表8.3.5—1、表8.3.5—2的规定;

3 筋网绑扎应符合下列规定:1)筋网的表面应洁净,无油污和锈蚀;2)低碳冷拔钢丝的连接不应采用焊接;绑扎时搭接长度不宜小于250mm;3)纵筋宜用整根钢筋,绑扎须平直,间距均匀;4)钢丝网应铺平绷紧,不得有波浪、束腰、网泡、丝头外翘等现象;5)钢丝网的搭接长度,环向不小于100mm,竖向不小于50mm;上下层搭接位置应错开;6)绑扎结点应按梅花形排列,其间距不宜大于100mm(网边处不大于50mm);7)严禁在网面上走动和抛掷物件;8)绑扎完成后应进行全面检查;4 水泥砂浆的拌制与使用应符合下列规定:1)水灰比宜为0.32~0.40;灰砂比宜为1:1.5~1:1.7;2)应拌合均匀,拌合时间不得小于3min;3)应随拌随用,不宜超过1h,初凝后的砂浆不得使用;4)抹压中砂浆不得加水稀释或撒干水泥吸水;5 钢丝网水泥砂浆施工应符合下列规定:1)抹压砂浆前,应将网层内清理干净;2)施工顺序应自下而上,由中间向两边(或一边)环圈进行;3)手工施浆,钢丝网内砂浆应压实抹平,待每个网孔均充满砂浆并稍突出时,方可加抹保护层砂浆并压实抹平;砂浆施工缝及环梁交角处冷缝处应细致操作,交角处宜抹成圆角;4)机械振动时,应根据构件形状选用适宜的振动器;砂浆应振捣至不再有明显下沉,无气泡逸出,表面出现稀浆时为止;5)喷浆法施工应符合本规范第6.4.12条的规定;6)水泥砂浆表面压光应待砂浆的游离水析出后进行;压光宜进行三遍,最后一遍在接近终凝时完成;7)钢丝网保护层厚度应符合设计要求;设计无要求时,宜为3~5mm;8)水泥砂浆的抹压宜一次连续成活;不能一次成活时,接头处应在砂浆终凝前拉毛,接茬前应把该处浮渣清除,用水冲洗干净;6 砂浆试块留置及验收批:每个水柜作为一个验收批,强度值应至少检查一次;每次应在现场制作标准试块三组,其中一组作标准养护,用以检验强度;两组随壳体养护,用以检验脱模、出厂或吊装时的强度;7 压光成活后及时进行养护,并应符合下列规定:1)自然养护:应保持砂浆表面充分湿润,养护时间不应少于14d;2)蒸汽养护:温度与时间应符合表8.3.5—3的规定;

8 水泥砂浆应达到设计强度的70%方可脱模。
8.3.6 预制装配式钢丝网水泥倒锥壳水柜的装配应符合下列规定:1 预制的钢丝网水泥扇形板构件宜侧放,支架垫木应牢固稳定;2 装配准备应符合下列规定:1)下环梁企口面上,应测定每块壳体构件安装的中心位置,并检查其高程;2)应根据水塔中心线设置构件装配的控制桩,用以控制构件的起立高度及其顶部距水柜中心距离;3)构件接缝处表面必须凿毛,伸出的连接钢环应调整平顺,灌缝前应冲洗干净,并使接茬面湿润;3 装配应符合下列规定:1)吊装时,吊绳与构件接触处应设木垫板;起吊时严禁猛起;吊离地面后应立即检查,确认平稳后,方准提升;2)宜按一个方向顺序进行装配;构件下端与下环梁拼接的三角缝应衬垫;三角缝的上面缝口应临时封堵,构件的临时支撑点应加垫木板;3)构件全部装配并经调整就位后,方可固定穿筋;插入预留钢筋环内的两根穿筋,应各与预留钢环靠紧,并使用短钢筋,在接缝中每隔0.5m处与穿筋焊接;4)中环梁安装模板前,应检查已安装固定的倒锥壳壳体顶部高程,按实测高程作为安装模板控制水平的依据;混凝土浇筑前,应先埋设塔顶栏杆的预埋件和伸入顶盖接缝内的预留钢筋,并采取措施控制其位置;5)倒锥壳壳体的接缝宜在中环梁混凝土浇筑后进行;接缝宜从下向上浇筑、振动、抹压密实,并应由其中一缝向两边方向进行;4 水柜顶盖装配前,应先安装和固定上环梁底模,其装配、穿筋、接缝等施工可按照本条的规定执行,但接缝插入穿筋前必须将塔顶栏杆安装好。
8.3.7 钢筋混凝土水柜的施工应符合下列规定:1 钢筋混凝土水柜的制作应按本规范第6章的相关规定执行,并应符合设计要求;2 钢筋混凝土倒锥壳水柜的混凝土施工缝宜留在中环梁内;3 正锥壳顶盖模板的支撑点应与倒锥壳模板的支撑点相对应。
8.3.8 钢水柜的安装应符合下列规定:1 钢水柜的制作、检验及安装应符合现行国家标准《钢结构工程施工质量验收规范》GB 50205的相关规定和设计要求;对于球形钢水柜还应符合现行国家标准《球形储罐施工及验收规范》GB 50094的相关规定;2 水柜吊装应视吊装机械性能选用一次吊装,或分柜底、柜壁及顶盖三组吊装;3 吊装前应先将吊机定位,并试吊;经试吊检验合格后,方可正式吊装;4 水柜内应在与吊点的相应位置加十字支撑,防止水柜起吊后变形;5 整体吊装单支筒全钢水塔还应符合下列规定:1)吊装前,对吊装机具设备及地锚规格,必须指定专人进行检查;2)主牵引地锚、水塔中心、吊绳、止动地锚四点必须在同一垂直面上;3)吊装离地时,应作一次全面检查,如发现问题,应落地调整,符合要求后,方可正式吊装;4)水塔必须一次立起,不得中途停下;立起至70°后,牵引速度应减缓;5)吊装过程中,现场人员均应远离塔高1.2倍的距离以外;6)水塔吊装完成,必须紧固地脚螺栓,并安装拉线后,方可上塔解除钢丝绳。
8.4 调 蓄 池
8.4.1 调蓄池工程施工应制定专项施工方案,主要内容应包括基坑开挖与支护、模板支架、混凝土等施工方法及地层变形、周围环境的监测。
8.4.2 相关构筑物、各工艺管道等的施工顺序应先深后浅;地基受扰动或承载力不满足要求时,应按设计要求进行加固处理。
8.4.3 应做好基坑降、排水,施工阶段构筑物的抗浮稳定性不能满足要求时,必须采取抗浮措施。
8.4.4 构筑物的导流、消能、排气、排空等设施应按设计要求施工。
8.4.5 水池、顶板上部表面的防水、防渗、保温等措施应符合本规范第6章的相关规定和设计要求。
8.4.6 地下式构筑物水池满水试验合格后,方可进行防水层施工,并及时进行池壁外和池顶的土方回填施工。
8.4.7 回填土作业应均匀对称,防止不均匀沉降、位移。
8.5 质量验收标准
8.5.1 调蓄构筑物中有关混凝土、砌体结构工程、附属构筑物工程的各分项工程质量验收应符合本规范第6.8节的相关规定。
8.5.2 钢筋混凝土圆筒、框架结构水塔塔身应符合下列规定:主控项目1 水塔塔身的结构类型、结构尺寸以及预埋件、预留孔洞等规格应符合设计要求;检查方法:观察;检查施工记录、测量记录、隐蔽验收记录。2 混凝土的强度、抗冻性能必须符合设计要求;其试块的留置及质量评定应符合本规范第6.2.8条的相关规定;检查方法:检查配合比报告;检查混凝土抗压、抗冻试块的试验报告。3 塔身混凝土结构外观质量无严重缺陷;检查方法:观察;检查处理方案、资料。4 塔身各部位的构造形式以及预埋件、预留孔洞位置、构造等应符合设计要求,其尺寸偏差不得影响结构性能和相关构件、设备的安装;检查方法:观察;检查施工记录、测量放样记录。一般项目5 混凝土结构外观质量不宜有一般缺陷;检查方法:观察;检查处理方案、资料。6 混凝土表面应平整密实,边角整齐;检查方法:观察。7 装配式塔身的预制构件之间的连接应符合设计要求,钢筋连接质量符合国家相关标准的规定;检查方法:检查施工记录、钢筋接头检验报告。8 钢筋混凝土圆筒或框架塔身施工的允许偏差应符合表8.5.2的规定。

8.5.3 钢架、钢圆筒结构水塔塔身应符合下列规定:主控项目1 钢材、连接材料、钢构件、防腐材料等的产品质量保证资料应齐全,每批的出厂质量合格证明书及各项性能检验报告应符合国家有关标准规定和设计要求;检查方法:检查产品质量合格证、出厂检验报告和进场复验报告。2 钢构件的预拼装质量经检验合格;检查方法:观察;检查预拼装及检验记录。3 钢构件之间的连接方式、连接检验等符合设计要求,组装应紧密牢固;检查方法:观察;检查施工记录,检查螺栓连接的力学性能检验记录或焊接质量检验报告。4 塔身各部位的结构形式以及预埋件、预留孔洞位置、构造等应符合设计要求,其尺寸偏差不得影响结构性能和相关构件、设备的安装;检查方法:观察;检查施工记录、测量放样记录。一般项目5 采用螺栓连接构件时,螺头平面与构件间不得有间隙;螺栓应全部穿入,其穿入的方向符合规范要求;检查方法:观察;检查施工记录。6 采用焊接连接构件时,焊缝表面质量符合设计要求;检查方法:观察;检查焊缝外观质量检验记录。7 钢结构表面涂层厚度及附着力符合设计要求;涂层外观应均匀,无褶皱、空泡、凝块、透底等现象,与钢构件表面附着紧密;检查方法:观察;检查厚度及附着力检测记录。8 钢架及钢圆筒塔身施工的允许偏差应符合表8.5.3的规定。


8.5.4 预制砌块和砖、石砌体结构水塔塔身应符合下列规定:主控项目1 预制砌块、砖、石、水泥、砂等材料的产品质量保证资料应齐全,每批的出厂质量合格证明书及各项性能检验报告应符合国家有关标准规定和设计要求;检查方法:观察;检查产品质量合格证、出厂检验报告和进场复验报告。2 砌筑砂浆配比及强度符合设计要求;其试块的留置及质量评定应符合本规范第6.5.2、6.5.3条的相关规定;检查方法:检查施工记录,检查砂浆配合比记录、砂浆试块试验报告。3 砌块砌筑应垂直稳固、位置正确;灰缝或灌缝饱满、严密,无透缝、通缝、开裂现象;检查方法:观察;检查施工记录,检查技术处理资料。4 塔身各部位的构造形式以及预埋件、预留孔洞位置、构造等应符合设计要求,其尺寸偏差不得影响结构性能和相关构件、设备的安装;检查方法:观察;检查施工记录、测量放样记录。一般项目5 砌筑前,预制砌块、砖、石表面应洁净,并充分湿润;检查方法:观察。6 预制砌块和砖的砌筑砂浆灰缝应均匀一致、横平竖直,灰缝宽度的允许偏差为±2mm;检查方法:观察;用钢尺随机抽测10皮砖、石砌体进行折算。7 砌筑进行勾缝时,勾缝应密实,线形平整、深度一致;检查方法:观察。8 预制砌块和砖、石砌体塔身施工的允许偏差应符合表8.5.4的规定。

8.5.5 钢丝网水泥、钢筋混凝土倒锥壳水柜和圆筒水柜制作应符合下列规定:主控项目1 原材料的产品质量保证资料应齐全,每批的出厂质量合格证明书及各项性能检验报告应符合国家有关标准规定和设计要求;检查方法:检查产品质量合格证、出厂检验报告和进场复验报告。2 水柜钢丝网或钢筋的规格数量、各部位结构尺寸和净尺寸以及预埋件、预留孔洞位置、构造等应符合设计要求;其尺寸偏差不得影响结构性能和相关构件、设备的安装;检查方法:观察;检查施工记录、测量放样记录。3 砂浆或混凝土强度以及混凝土抗渗、抗冻性能应符合设计要求;砂浆试块的留置应符合本规范第8.3.5条第6款的规定,混凝土试块的留置应符合本规范第6.2.8条的相关规定;检查方法:检查砂浆抗压强度试块的试验报告,混凝土抗压、抗渗、抗冻试块试验报告。4 水柜外观质量无严重缺陷;检查方法:观察;检查加固补强技术资料。一般项目5 钢丝网或钢筋安装平整,表面无污物;检查方法:观察。6 混凝土水柜外观质量不宜有一般缺陷,钢丝网水柜壳体砂浆不得有空鼓和缺棱掉角,表面不得有露丝、露网、印网和气泡;检查方法:观察。7 水柜制作的允许偏差应符合表8.5.5的规定。

8.5.6 钢丝网水泥、钢筋混凝土倒锥壳水柜和圆筒水柜吊装应符合下列规定:主控项目1 预制水柜、水柜预制构件等的成品质量经检验、验收符合设计要求;拼装连接所用材料的产品质量保证资料应齐全,每批的出厂质量合格证明书及各项性能检验报告应符合国家有关标准规定和设计要求;检查方法:观察;检查预制件成品制作的质量保证资料和相关施工检验资料;检查每批原材料的出厂质量合格证明、性能检验报告及有关的复验报告。2 预制水柜经满水试验合格;水柜预制构件经试拼装检验合格;检查方法:观察;检查预制水柜的满水试验记录,检查水柜预制构件经试拼装检验记录。3 钢筋、顶埋件、预留孔洞的规格、位置和数量应符合设计要求;检查方法:观察。4 水柜与塔身、预制构件之间的拼接方式符合设计要求;构件安装应位置准确,垂直、稳固;相邻构件的钢筋接头连接可靠,湿接缝的混凝土应密实;检查方法:观察;检查施工记录,检查预留钢筋机械或焊接接头连接的力学性能检验报告,检查混凝土强度试块的试验报告。5 安装后的水柜位置、高程等应满足设计要求;检查方法:观察;检查安装记录;用钢尺、水准仪等测量检查。一般项目6 构件安装时,应将连接面的杂物、污物清理干净,界面处理满足安装要求;检查方法:观察。7 吊装完成后,水柜无变形、裂缝现象,表面应平整、洁净,边角整齐;检查方法:观察;检查加固补强技术资料。8 各拼接部位严密、平顺,无损伤、明显错台等现象;检查方法:观察。9 防水、防腐、保温层应符合设计要求;表面应完整,无破损等现象;检查方法:观察;检查施工记录,检查相关的施工检验资料。10 水柜的吊装施工允许偏差应符合表8.5.6的规定。


8.5.7 钢水柜制作及安装的质量验收应按现行国家标准《钢结构工程施工质量验收规范》GB 50205的相关规定执行;对于球形钢水柜还应符合现行国家标准《球形储罐施工及验收规范》GB 50094的相关规定。
8.5.8 清水、调蓄(调节)水池混凝土结构的质量验收应符合本规范第6.8.7条的规定。
9 功能性试验
9.1 一般规定
9.1.1 水处理、调蓄构筑物施工完毕后,均应按照设计要求进行功能性试验。
9.1.2 功能性试验须满足本规范第6.1.3条的规定,同时还应符合下列条件:1 池内清理洁净,水池内外壁的缺陷修补完毕;2 设计预留孔洞、预埋管口及进出水口等已做临时封堵,且经验算能安全承受试验压力;3 池体抗浮稳定性满足设计要求;4 试验用充水、亢气和排水系统已准备就绪,经检查充水、充气及排水闸门不得渗漏;5 各项保证试验安全的措施已满足要求;6 满足设计的其他特殊要求。
9.1.3 功能性试验所需的各种仪器设备应为合格产品,并经具有合法资质的相关部门检验合格。
9.1.4 各种功能性试验应按附录D、附录E填写试验记录。
9.2 满水试验
9.2.1 满水试验的准备应符合下列规定:1 选定洁净、充足的水源;注水和放水系统设施及安全措施准备完毕;2 有盖池体顶部的通气孔、人孔盖已安装完毕,必要的防护设施和照明等标志已配备齐全;3 安装水位观测标尺,标定水位测针;4 现场测定蒸发量的设备应选用不透水材料制成,试验时固定在水池中;5 对池体有观测沉降要求时,应选定观测点,并测量记录池体各观测点初始高程。
9.2.2 池内注水应符合下列规定:1 向池内注水应分三次进行,每次注水为设计水深的1/3;对大、中型池体,可先注水至池壁底部施工缝以上,检查底板抗渗质量,无明显渗漏时,再继续注水至第一次注水深度;2 注水时水位上升速度不宜超过2m/d;相邻两次注水的间隔时间不应小于24h;3 每次注水应读24h的水位下降值,计算渗水量,在注水过程中和注水以后,应对池体作外观和沉降量检测;发现渗水量或沉降量过大时,应停止注水,待作出妥善处理后方可继续注水;4 设计有特殊要求时,应按设计要求执行。
9.2.3 水位观测应符合下列规定:1 利用水位标尺测针观测、记录注水时的水位值;2 注水至设计水深进行水量测定时,应采用水位测针测定水位,水位测针的读数精确度应达1/10mm;3 注水至设计水深24h后,开始测读水位测针的初读数;4 测读水位的初读数与末读数之间的间隔时间应不少于24h;5 测定时间必须连续。测定的渗水量符合标准时,须连续测定两次以上;测定的渗水量超过允许标准,而以后的渗水量逐渐减少时,可继续延长观测;延长观测的时间应在渗水量符合标准时止。
9.2.4 蒸发量测定应符合下列规定:1 池体有盖时蒸发量忽略不计;2 池体无盖时,必须进行蒸发量测定;3 每次测定水池中水位时,同时测定水箱中的水位。
9.2.5 渗水量计算应符合下列规定:水池渗水量按下式计算:

式中 q——渗水量[L/(m2·d)];A1——水池的水面面积(m2);A2——水池的浸湿总面积(m2);E1——水池中水位测针的初读数(mm);E2——测读E1后24h水池中水位测针的末读数(mm);e1——测读E1时水箱中水位测针的读数(mm);e2——测读E2时水箱中水位测针的读数(mm)。
9.2.6 满水试验合格标准应符合下列规定:1 水池渗水量计算应按池壁(不含内隔墙)和池底的浸湿面积计算;2 钢筋混凝土结构水池渗水量不得超过2L/(m2·d);砌体结构水池渗水量不得超过3L/(m2·d)。
9.3 气密性试验
9.3.1 气密性试验应符合下列要求:1 需进行满水试验和气密性试验的池体,应在满水试验合格后,再进行气密性试验;2 工艺测温孔的加堵封闭、池顶盖板的封闭、安装测温仪、测压仪及充气截门等均已完成;3 所需的空气压缩机等设备已准备就绪。
9.3.2 试验精确度应符合下列规定:1 测气压的U形管刻度精确至毫米水柱;2 测气温的温度计刻度精确至1℃;3 测量池外大气压力的大气压力计刻度精确至10Pa。
9.3.3 测读气压应符合下列规定:1 测渎池内气压值的初读数与末读数之间的间隔时间应不少于24h;2 每次测读池内气压的同时,测读池内气温和池外大气压力,并换算成同于池内气压的单位。
9.3.4 池内气压降应按下式计算:

式中 P——池内气压降(Pa);Pd1——池内气压初读数(Pa);Pd2——池内气压末读数(Pa);Pa1——测量Pd1时的相应大气压力(Pa);Pa2——测量Pd2时的相应大气压力(Pa);t1——测量Pd1时的相应池内气温(℃);t2——测量Pd2时的相应池内气温(℃)。
9.3.5 气密性试验达到下列要求时,应判定为合格:1 试验压力宜为池体工作压力的1.5倍;2 24h的气压降不超过试验压力的20%。
附录A 给排水构筑物单位工程、分部工程、分项工程划分


注:1 单体构筑物工程包括:取水构筑物(取水头部、进水涵渠、进水间、取水泵房等单体构筑物),排放构筑物(排放口、出水涵渠、出水扑、排放泵房等单体构筑物),水处理构筑物(泵房、调节配水池、蓄水池、清水池、沉砂池、工艺沉淀池、曝气池、澄清池、滤池、浓缩池、消化池、稳定塘、涵渠等单体构筑物),管渠,调蓄构筑物(增压泵房、提升泵房、调蓄池、水塔、水柜等单体构筑物);2 细部结构指主体构筑物的走道平台、梯道、设备基础、导流墙(槽)、支架、盖扳等的现浇混凝上或钢结构;对于混凝土结构,与主体结构工程同时连续浇筑施工时,其钢筋、模板、混凝土等分项工程验收,可与主体结构工程合并;3 各类工艺辅助构筑物指各类工艺井、管廊桥架、闸槽、水槽(廊)、堰口、穿孔、孔口、斜板、导流墙(板)等;对于混凝土和砌体结构,与主体结构工程同时连续浇筑、砌筑施工时,其钢筋、模板、混凝土、砌体等分项工程验收,可与主体结构工程合并;4 长输管渠的分项工程应按管段长度划分成若干个验收批分项工程,验收批、分项工程质量验收记录表式同现行国家标准《给水排水管道工程施工与验收规范》GB 50268—2008表B.0.1和表B.0.2;5 管理用房、配电房、脱水机房、鼓风机房、泵房等的地面建筑工程同现行国家标准《建筑工程施工质量验收统一标准》GB 50300—2001附录B规定。
附录B 分项、分部、单位工程质量验收记录
B.0.1 分项工程(验收批)的质量验收记录由施工项目部专业质量检查员填写,监理工程师(建设项目专业技术负责人)组织项目部专业质量检查员进行验收,并按表B.0.1记录。

B.0.2 分部(子分部)工程质量应由总监理工程师(建设项目专业负责人)组织施工项目经理和有关勘察、设计项目负责人进行验收,并按表B.0.2记录。

B.0.3 单位(子单位)工程质量竣工验收记录由施工单位填写。验收结论由监理(建设)单位填写,综合验收结论由参加验收各方共同商定,建设单位填写,应对工程质量是否符合设计和规范要求及总体质量水平作出评价,并按表B.0.3—1~表B.0.3—4记录。




附录C 预应力筋张拉记录
C.0.1 预应力筋张拉应按表C.0.1记录。

C.0.2 缠绕钢丝应力测量应按表C.0.2记录。

C.0.3 电热张拉钢筋应按表C.0.3记录。

C.0.4 电热张拉钢筋应力测量应按表C.0.4记录。

附录D 满水试验记录

附录E 气密性试验

附录F 钢筋混凝土结构外观质量缺陷评定方法
F.0.1 钢筋混凝土结构外观质量缺陷,应根据其对结构性能和使用功能影响的严重程度,按表F.0.1的规定进行评定。

附录G 混凝土构筑物渗漏水程度评定方法
G.0.1 渗漏水程度应按表G.0.1规定进行评定。

原创文章,作者:OIYCRZ,如若转载,请注明出处:https://www.beidanyezhu.com/a/9868.html
微信扫一扫